Deepayan Sarkar
Next we study another sorting algorithm called heapsort
It has the good properties of both merge sort and insertion sort
It has \(O(n \log_2 n)\) worst-case running time
It is in-place (requires only a constant amount of extra storage)
It is based on a data structure known as a heap.

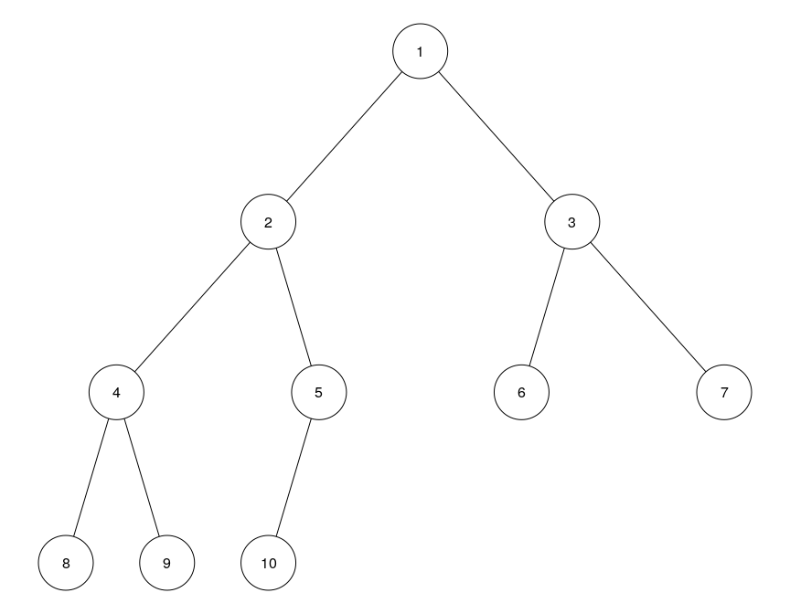
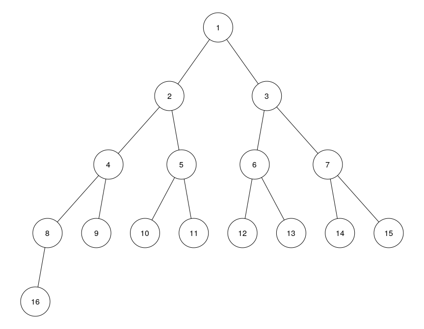
The (binary) heap data structure is an object that we can view as a nearly complete binary tree.
Each node corresponds to an element.
The tree is completely filled on all levels except possibly the lowest, which is filled from the left up to a point.
For each node x, the following operations are defined:
PARENT(x) returns the parent node
LEFT(x) returns the left child node
RIGHT(x) returns the right child node

General graph \(G = (V, E)\) consists of
\(V\) : set of vertices or nodes
\(E\) : set of edges
Usually stored as list of nodes and edges / adjacency matrix
Trees are a subtype of graphs
They have a special root node
Each node has 0 or more child nodes
Nodes with no children are called leafs
Heaps are are (almost) complete binary trees
This makes implementation of heaps easier than for general graphs

Suppose we number the nodes as shown
Then we can define
PARENT(i)
LEFT(i)
RIGHT(i)
Because of this, heaps are usually implemented using an array
Specifically, a heap is an array A with two attributes:
length(A) gives the number of elements in the array
The first heap-size(A) elements of the array are considered part of the heap
Note that the number of elements of an array are usually fixed
As we will see, it is common to change the heap size in heap-based algorithms
Index the array by \(1, 2, ..., n\)
Root node has index 1
Then as shown above, we can implement
PARENT(i)
LEFT(i)
RIGHT(i)
In C / C++, there are shift operators << and >> that make these efficient
Implementations need to change if arrays are indexed from 0

View the heap as a tree
The height of a node is the number of edges on the longest simple downward path from the node to a leaf.
The height of the heap is the height of its root
A heap of size \(n\) has height \(\lfloor \log_2 n \rfloor\)
We are usually interested in heaps that satisfy a particular property
Depending on the property, the heap is called either a max-heap or a min-heap.
Max-heap: A heap \(A\) is called a max-heap if it satisfies the “max-heap property”
\[ A[PARENT(i)] \geq A[i] ~\textsf{ for all }~ i > 1 \]
That is, the value at every node (except the root node) is less than or equal to the value at its parent.
In particular,
the largest element in a max-heap is stored at the root
The subtree rooted at any node only contains values less that or equal to the value in that node
Min-heap: Similarly, a heap \(A\) is a min-heap if it satisfies the “min-heap property”
\[ A[PARENT(i)] \leq A[i] ~\textsf{for all}~ i > 1 \]

For the heapsort algorithm, we will use max-heaps
The key elements of the algorithm are
The BUILD-MAX-HEAP procedure, which produces a max-heap from an unordered input array, and
The MAX-HEAPIFY procedure, which is used to maintain the max-heap property
Suppose that we have a heap that is almost a max-heap
However, the max-heap property may not hold for the root element
MAX-HEAPIFY fixes this error and makes it a max-heap
The MAX-HEAPIFY procedure has the following inputs
an array \(A\), and
an index \(i\) into the array
When called, MAX-HEAPIFY assumes that
the binary trees rooted at \(LEFT(i)\) and \(RIGHT(i)\) are max-heaps, but
\(A[i]\) might be smaller than its children
MAX-HEAPIFY moves \(A[i]\) down the max-heap so that the subtree rooted at \(i\) becomes a max-heap
Outline: At each step,
The largest of the elements \(A[i], A[LEFT(i)], A[RIGHT(i)]\) is determined
Its index is stored in the variable \(largest\)
If \(A[i]\) is largest, then the subtree rooted at node \(i\) is already a max-heap and the procedure terminates
Otherwise, one of the two children has the largest element, and so
\(A[i]\) is swapped with \(A[largest]\)
Node \(i\) and its immediate children now satisfy the max-heap property
But \(A[largest]\) now equals the original \(A[i]\), so that subtree might violate the max-heap property
So we call MAX-HEAPIFY recursively on that subtree
MAX-HEAPIFY(A, i)
Let \(T(n)\) be The running time of MAX-HEAPIFY for a sub-tree of size \(n\)
Requires a constant time to compare the root with two children to decide which is largest
If necessary, additionally requires time to MAX-HEAPIFY a subtree
Claim: The size of a subtree can be at most \(2n/3\).
Proof is an exercise: Hint:
Height = \(k = \lfloor log_2 n \rfloor\)
Size of subtree is at most \(2^k \leq 2^{\lfloor log_2 n \rfloor}\)
Worst case when tree half-full (is that obvious?)
Then, \(n = 2^{k}-1 + 2^{k}/2 = 3/2 \times 2^{k} - 1\), and size of subtree is \(m = 2^{k} - 1\)
Then, \(m/n = 2/3 \times \frac{1-1/L}{1-2/3L}\), where \(L = 2^{k}\)
The extra factor simplifies to \((3L-3)/(3L-2) < 1\)
\[ T(n) = T(2n/3) + \Theta(1) \]
By the master theorem, the solution is \(T(n) = O(\log_2 n)\)
We often state this by saying that runtime of MAX-HEAPIFY is linear in the height of the tree
We can easily use MAX-HEAPIFY in a bottom-up manner to convert an array \(A[1,...,n]\) into a max-heap
All elements \(A[i]\) for \(i > PARENT(n)\) are leaves of the tree, and so are already 1-element max-heaps
BUILD-MAX-HEAP(A)
To prove correctness, we can use the following loop invariant:
At the start of each iteration of the for loop, each node \(i+1, i+2, ..., n\) is the root of a max-heap.
Children of any node \(i\) are numbered higher than \(i\)
Since these are max-heaps by the loop invariant condition, it is legitimate to apply MAX-HEAPIFY(A, i)
This now makes \(i\) the root of a max-heap, and the property continues to hold for all nodes numbered \(>i\)
When \(i\) decreases by 1, the loop invariant becomes true for the next value of \(i\)
At termination, \(i = 0\). By the loop invariant, each node \(1, 2, ..., n\) is the root of a max-heap
In particular, this holds for node 1, the root node
BUILD-MAX-HEAP(A)A simple upper bound for the running time is \(n \log_2 n\)
Can we do better? Possibly yes, because
Running time for MAX-HEAPIFY is lower for nodes of low height
Such nodes are more in number
In particular, An \(n\)-element heap has
Height \(H = \lfloor \log_2 n \rfloor\), and
At height \(h\) (i.e., height \(H-h\) from root node), at most \(2^{H-h}\) nodes
Runtime \(T(n)\) of MAX-HEAPIFY on a node of height \(h\) is \(O(h)\)
So the total run time for BUILD-MAX-HEAP is bounded above by
\[ \sum_{h = 0}^H 2^{H-h} O(h) = 2^H O \left( \sum_{h = 0}^H \frac{h}{2^h} \right) \]
BUILD-MAX-HEAP(A)Recall that \[\sum_{k=0}^n kx^k < \sum_{k=0}^{\infty} kx^k = x \frac{\text{d}}{\text{d}x} \sum_{k=0}^{\infty} x^k = x \frac{\text{d}}{\text{d}x} \frac{1}{1-x} = \frac{x}{(1-x)^2} \]
Thus we can see that
\[ \sum_{h = 0}^H \frac{h}{2^h} \leq \frac{1/2}{(1-1/2)^2} = 2 \]
Finally, we come to the heapsort algorithm
Use BUILD-MAX-HEAP to build a max-heap on the input array \(A\) of length \(n\)
Initial heap size \(s = n\)
The maximum element of the array is now stored at the root \(A[1]\)
Put it into its correct final position by swapping with \(A[s]\)
Now, discard this maximum element in \(A[n]\) from the heap, by simply decreasing the heap size \(s\) by 1
The remainder is almost a max-heap, except possibly at the root node
Make it a max-heap by calling MAX-HEAPIFY
Repeat
HEAPSORT(A)
At the start of each iteration of the for loop, the subarray \(A[1,...,i]\) is a max-heap containing the \(i\) smallest elements of \(A[1,...,n]\), and the subarray \(A[i+1,...,n]\) contains the \(n-i\) largest elements of \(A[1,...,n]\) in sorted order.
\[ T(n) = O(n) + \sum_{i} O(\lfloor \log_2 i \rfloor) = O(n) + O\left( \sum_{i} \log_2 i \right) = O(n \log_2 n) \]
A common problem: finding the maximum
Typical approach: look at each one by one, keeping track of the best
Not much we can do to improve on this
A variant of this problem: there is a substantial cost to updating the current ‘best’ value
We can phrase this as the hiring problem
Suppose that your current office assistant is horribly bad, and you need to hire a new office assistant
An employment agency sends you one candidate every day
You interview a candidate and decide either to hire or not
But if you don’t hire the candidate immediately, you cannot hire him / her later
You pay the employment agency a small fee to interview an applicant
Hiring an applicant is more costly because you must also compensate the current current office assistant who you are firing
You want to have the best possible person for the job at all times
Therefore, you decide that, after interviewing each applicant, if that applicant is better qualified than the current office assistant, you will fire the current office assistant and hire the new applicant
You are willing to pay the resulting price of this strategy, but you wish to estimate what that price will be
hire-assistant(n)
Let \(c_i\) be interview cost, and \(c_h\) be hiring cost.
Then the total cost is \(nc_i + mc_h\), where \(m\) is the number of times we hired someone new.
The first part is fixed, so we concentrate on \(m c_h\).
Worst case:
we get applicants in increasing order (worst to best)
we hire everyone we interview
So \(m = n\)
Best case: \(m=1\)
What is the average case?
We need to assume a probability distribution on the input order
Simplest model: candidates come in random order
More precisely, their order is a uniformly random permutation of \(1, 2, ..., n\)
\[\begin{eqnarray*} X_i & = & \boldsymbol{1}\left\lbrace\text{Candidate } i \text{ is hired}\right\rbrace \\ X & = & \sum_i X_i \end{eqnarray*}\]
Then \(E(X_i) = 1/i \implies E(X) = \sum_{i=1}^n 1/i \approx \log n\)
Exercise: Can we write \(E(X) = \Theta(\log n)\)?
Exercise: Determine \(Var(X)\).
The final general sorting algorithm we study is called quicksort
It is among the fastest sorting algorithms in practice
Estimating the runtime theoretically is somewhat tricky
Quicksort is a divide-and-conquer algorithm (like merge-sort)
The steps to sort an array \(A[p,...,r]\) are:
Choose an element in \(A\) as the pivot element \(x\)
Partition (rearrange) the array \(A[p,...,r]\) and compute index \(p \leq q \leq r\) such that
Each element of \(A[p,...,q] \leq x\)
Each element of \(A[q+1,...,r] \geq x\)
Computing the index \(q\) is part of the partitioning procedure
Sort the two subarrays \(A[p,...,q]\) and \(A[q+1,...,r]\) by recursive calls to quicksort
No further work needed, because the whole array is now sorted
QUICKSORT(A, p, r)
The full array A of length n can be sorted with QUICKSORT(A, 1, n)
Of course, the important ingredient is PARTITION()
Quicksort was originally invented by C. A. R. Hoare in 1959
He proposed the following PARTITION() algorithm
PARTITION(A, p, r)
Exercise: Assuming \(p < r\), show that in the algorithm above,
Elements outside the subarray \(A[p, ..., r]\) are never accessed
The algorithm terminates after a finite number of steps
On termination, the return value \(j\) satisfies \(p \leq j < r\)
Every element of \(A[p, ..., j]\) is less than or equal to every element of \(A[j+1, ..., r]\)
Runtime of PARTITION is clearly \(\Theta(n)\) (linear)
Worst-case: partitioning produces one subproblem with \(n-1\) elements and one with 1 element
\[ T(n) = T(n-1) + T(1) + \Theta(n) = T(n-1) + \Theta(n) \]
Solved by \(T(n) = \Theta(n^2)\)
Best case: always balanced split
\[ T(n) = 2 T(n/2) + \Theta(n) \]
By master theorem gives \(T(n) = O(n \log_2 n)\)
This happens if we can somehow ensure that the pivot is always the median
That is of course impossible to ensure
Average case: This turns out to be also \(O(n \log_2 n)\), but the proof of this is more involved
We will study a slightly different version of quicksort (due to Lomuto)
Formal runtime analysis of this version is easier
PARTITION(A, p, r)
This rearranges \(A[p,...,r]\) and computes index \(p \leq q \leq r\) such that
\(A[q] = x\)
Each element of \(A[p,...,q-1] \leq x\)
Each element of \(A[q+1,...,r] \geq x\)
The quicksort algorithm is modified as
QUICKSORT(A, p, r)
As the procedure runs, it partitions the array into four (possibly empty) regions.
At the start of each iteration of the for loop in lines 3–7, the regions satisfy certain properties.
We state these properties as a loop invariant:
At the beginning of each iteration of the loop, for any array index \(k\),
If \(p \leq k \leq i\), then \(A[k] \leq x\)
If \(i+1 \leq k \leq j-1\), then \(A[k] > x\)
If \(k = r\), then \(A[k] = x\)
(The values of \(A[k]\) can be anything for \(j \leq k < r\))
Prior to the first iteration of the loop, \(i = p-1\) and \(j = p\)
No values lie between \(p\) and \(i\) and no values lie between \(i + 1\) and \(j - 1\)
So, the first two conditions of the loop invariant are trivially satisfied
The assignment \(x = A[r]\) in line 1 satisfies the third condition
We have two cases, depending on the outcome of the test in line 4
When \(A[j] > x\), the only action is to increment \(j\), after which
condition 2 holds for \(A[j-1]\)
all other entries remain unchanged
When \(A[j] \leq x\), the loop increments \(i\), swaps \(A[i]\) and \(A[j]\), and then increments \(j\)
Because of the swap, we now have that \(A[i] \leq x\), and condition 1 is satisfied
Similarly, \(A[j-1] > x\), as the value swapped into \(A[j-1]\) is, by the loop invariant, greater than \(x\)
At termination, \(j = r\)
Every entry in the array is in one of the three sets described by the invariant
We have partitioned the values in the array into three sets:
those less than or equal to \(x\)
those greater than \(x\)
a singleton set containing \(x\)
The second-last line of PARTITION swaps the pivot element with the leftmost element greater than \(x\)
This moved the pivot into its correct place in the partitioned array
The last line returns the pivot’s new index
Again, it is easy to see that the running time of PARTITION is \(\Theta(n)\).
Worst case: \(T(n) = \Theta(n^2)\) as before
Best case: \(T(n) = O(n \log_2 n)\) as before
Examples of worst case:
Input data already sorted
All input values constant
Exercise:
Are these worst cases for the original (Hoare) partition algorithm as well?
Suggest simple modifications which can “fix” these worst cases
(without increasing order of runtime of PARTITION)
Average case: What is the runtime of quicksort in the “average case”
This is the expected runtime when the input order is random (uniformly over all permutations)
A related concept: Randomized Algorithms
An algorithm is randomized if it makes use of (pseudo)-random numbers
We will analyze a randomized version of quicksort
This requires a “random number generator” algorithm RANDOM(i, j)
RANDOM(i, j) should return a random integer between \(i\) and \(j\) (inclusive) with uniform probability
RANDOMIZED-PARTITION(A, p, r)
RANDOMIZED-PARTITION in place of PARTITIONRANDOMIZED-QUICKSORT(A, p, r)
A randomized algorithm can proceed differently on different runs with the same input
In other words, the runtime for a given input is a random variable
This leads to two distinct concepts:
Expected runtime of RANDOMIZED-QUICKSORT (on a given input)
Average case runtime of QUICKSORT (averaged over random input order)
An alternative randomized version of quicksort is to randomly permute the input initially
The expected runtime in that case is clearly equivalent to the average case of QUICKSORT
Instead, we only choose the pivot randomly (in each partition step)
However, this does not change the resulting partitions (as sets)
A little thought shows that the number of comparisons is also the same
The number of swaps may differ, but are less than the number of comparisons
Assume that all elements of the input \(n\)-element array \(A[1, ..., n]\) are distinct
Each call to PARTITION has a for loop where each iteration makes one comparison (\(A[j] \leq x\))
Let \(X\) be the number of such comparisons in PARTITION over the entire execution of QUICKSORT
Then the running time of QUICKSORT is \(O(n + X)\)
This is easy to see, because
PARTITION is called at most \(n\) times (actually less)
In each such call, each iteration of the for loop makes one comparison contributing to \(X\)
The remaining operations of PARTITION only contribute a constant term
To analyze runtime of quicksort, we will try to find \(E(X)\)
In other words, we will not analyze contribution of each PARTITION call separately
Let
\(z_1 < z_2 < \dotsm < z_n\) be the elements of \(A\) in increasing order
\(Z_{ij} = \lbrace z_i, ..., z_j \rbrace\) be the set of elements between \(z_i\) and \(z_j\), inclusive.
\(X_{ij} = { \boldsymbol{1} \left\lbrace z_i \textsf{ is compared with } z_j\right\rbrace}\) sometime during the execution of QUICKSORT
First, note that two elements may be compared at most once
One of the elements being compared is always the pivot
The pivot is never involved in subsequent recursive calls to QUICKSORT
\[ X = \sum_{i=1}^{n-1} \sum_{j=i+1}^n X_{ij} \]
\[ E(X) = \sum_{i=1}^{n-1} \sum_{j=i+1}^n E(X_{ij}) = \sum_{i=1}^{n-1} \sum_{j=i+1}^n P(z_i \textsf{ is compared with } z_j) \]
\[P(z_i \textsf{ is compared with } z_j)\]
Consider the first element \(x\) in \(Z_{ij} = \lbrace z_i, ..., z_j \rbrace\) that is chosen as a pivot (at some point)
If \(z_i < x < z_j\), then \(z_i\) and \(z_j\) will never be compared
However, if \(x\) is either \(z_i\) or \(z_j\), then they will be compared
So, we want the probability that \(x\) is either \(z_i\) or \(z_j\)
until the first time something in \(Z_{ij}\) is chosen as a pivot, all elements in \(Z_{ij}\) remain in the same partition in any previous call to PARTITION (they are either all less than or greater than any previous pivot)
Recall that pivots are chosen uniformly randomly (in RANDOMIZED-PARTITION)
So any element of \(Z_{ij}\) is equally likely to be the one chosen first
Thus the required probability is \(2/|Z_{ij}| = 2/(j-i+1)\), and so
\[ EX = \sum_{i=1}^{n-1} \sum_{j=i+1}^n \frac{2}{j-i+1} = \sum_{i=1}^{n-1} \sum_{k=1}^{n-i} \frac{2}{k+1} < \sum_{i=1}^{n-1} \sum_{k=1}^{n} \frac{2}{k} = \sum_{i=1}^{n-1} O(\log_2 n) = O(n \log_2 n) \]
We have now seen four different sorting algorithms
Three of them have \(O(n \log n)\) runtime
A common property: they all use only pairwise comparison of elements to determine the result
In other words, only ranks are important, not the actual values
Such sorting algorithms are called comparison sorts
Claim: Any comparison sort algorithm requires \(\Omega(n \log n)\) comparisons in the worst case
To see why, think of any comparison sort as a decision tree
Each comparison leads to a decision
A sequence of decisions leads to the correct sorted result
For example, this is what happens when we do insertion sort on three elements \(a_1, a_2, a_3\)
Here, \(i \leq j\) denotes the act of comparing \(a_i\) and \(a_j\)

Generally, this decision tree must be a binary tree (two outcomes of each comparison)
It must have at least \(n!\) leaf nodes (one or more for each possible permutation)
Comparisons needed to reach a particular leaf: length of the path from the root node
The worst case number of comparisons is the height of the binary tree (longest path)
A binary tree of height \(h\) can have at most \(2^h\) leaf nodes
A binary tree with at least \(n!\) leaf nodes must have height \(h \geq \log_2 n!\)
Using Stirling’s approximation \(\log n! = n \log n - n + O(\log n)\),
\[ h \geq \log_2(n!) / \log_2(2) = \Theta(n \log n) \]
Sorting can be done in linear time in some special cases
As shown above, they cannot be comparison-based algorithms
Usually, these algorithms put restrictions on possible values
Examples:
Counting sort
Radix sort
A common requirement in randomized algorithms is to find a random permutation of an input array
One option: assign random key values to each element, then sort the elements according to these keys
PERMUTE-BY-SORTING(A)
Here \(M\) should large enough that the possibility of keys being duplicated is small
Exercise: Show that PERMUTE-BY-SORTING produces a uniform random permutation of the input, assuming that all key values are distinct
The runtime for PERMUTE-BY-SORTING will be \(\Omega(n \log_2 n)\) if we use a comparison sort
A better method for generating a random permutation is to permute the given array in place
The procedure RANDOMIZE-IN-PLACE does so in \(\Theta(n)\) time
RANDOMIZE-IN-PLACE(A)
In the \(i\)th iteration, \(A[i]\) is chosen randomly from among \(A[i], A[i+1], ..., A[n]\)
Subsequent to the ith iteration, \(A[i]\) is never altered.
Procedure RANDOMIZE-IN-PLACE computes a uniform random permutation
We prove this using the following loop invariant
Just prior to the \(i\)th iteration of the for loop, for each possible \((i-1)\)-permutation of the \(n\) elements, the subarray \(A[1,...,i-1]\) contains this \((i-1)\)-permutation with probability \((n-i+1)!/n!\).
Holds trivially (\(i-1=0\))
If this is not convincing, take (just before) \(i=2\) to be the initial step
Assume true upto \(i=1,...,k\)
Consider what happens just before \(i=(k+1)\)th iteration (i.e., just after \(k\)th iteration)
Let \((X_1, X_2, ..., X_k)\) be the random variable denoting the observed permutation
For any specific \(k\)-permutation \((x_1, x_2, ..., x_k)\),
\[\begin{eqnarray*} P(X_1 = x_1, X_2 = x_2, ..., X_k = x_k) &=& P(X_k = x_k | X_1 = x_1, X_2 = x_2, ..., X_{k-1} = x_{k-1}) \\ & & \times P(X_1 = x_1, X_2 = x_2, ..., X_{k-1} = x_{k-1}) \\ &=& \frac{1}{n-k+1} \times \frac{(n-k+1)!}{n!} = \frac{(n-k)!}{n!} \end{eqnarray*}\]
We will not discuss analysis of algorithms further
If you are interested, an excellent book on this topic is
Introduction to Algorithms by Cormen, Leiserson, Rivest and Stein
We will discuss some more algorithms in second semester projects