Deepayan Sarkar
R comes with two largely independent graphics subsystems
“Traditional” graphics (package graphics)
Grid graphics (package grid)
Grid forms the basis of two high-level graphics systems:
lattice: based on Trellis graphics (Cleveland)ggplot2: inspired by “Grammar of Graphics” (Wilkinson)It is also possible to interface with external graphics systems.
This is useful when some kind of interaction is required.
Package rgl: Interactive 3-D plots with OpenGL
Package plotly: Javascript-based plots in browser
Package rggobi: Interactive and dynamic graphics using GGobi
We will see a little bit of all these.
Like the language itself, R graphics was derived from S (Bell Labs, 1970s)
S graphics was based on the GRZ model:
May be described as a “painter’s model”
Graphic is built out of “primitives” such as line segments, polygons, text, etc.
Later elements are drawn on top of earlier ones
No provision for deleting an element once it was drawn
This allows graphics output to be easily abstracted
Output devices: screen, PDF, PNG
Enough to implement primitives for each device
Also impacted how plots were constructed
Mental approach: a plot is a work-in-progress
Always possibile to add something more
This attitude pervades traditional graphics


Try running this code one line at a time:
plot(anscombe$x1, anscombe$y1, type = "n", axes = FALSE, xlab = "", ylab = "")
box()
points(anscombe$x1, anscombe$y1, pch = 16)
axis(side = 1)
axis(side = 2)
title(main = "Anscombe's first dataset", xlab = "x1", ylab = "y1")
abline(lm(y1 ~ x1, anscombe), col = "red")
plot(anscombe$x2, anscombe$y2, type = "n", axes = FALSE, xlab = "", ylab = "")
lims <- par("usr")
rect(lims[1], lims[3], lims[2], lims[4], col = "grey80", border = NA)
abline(v = pretty(lims[1:2]), h = pretty(lims[3:4]), col = "white", lwd = 2)
axis(side = 1, col = "grey80", col.axis = "grey20")
axis(side = 2, col = "grey80", col.axis = "grey20", las = 1)
points(anscombe$x2, anscombe$y2, pch = 16)
title(main = "Anscombe's second dataset", xlab = "x2", ylab = "y2", col = "grey20")
abline(lm(y2 ~ x2, anscombe), col = "grey20")
Generally, traditional graphics work by calling specialized high-level functions
Let’s see some more examples using the airquality dataset.
'data.frame': 153 obs. of 6 variables:
$ Ozone : int 41 36 12 18 NA 28 23 19 8 NA ...
$ Solar.R: int 190 118 149 313 NA NA 299 99 19 194 ...
$ Wind : num 7.4 8 12.6 11.5 14.3 14.9 8.6 13.8 20.1 8.6 ...
$ Temp : int 67 72 74 62 56 66 65 59 61 69 ...
$ Month : int 5 5 5 5 5 5 5 5 5 5 ...
$ Day : int 1 2 3 4 5 6 7 8 9 10 ...


airquality$fmonth <- with(airquality, factor(Month, levels = 1:12, labels = month.name))
boxplot(Ozone ~ droplevels(fmonth), data = airquality)
The last example (box and whisker plot) is different — it allows comparison!
Making comparisons is one of the primary goals of statistical graphics
How can we compare other plots like scatter plots and histograms?
par(mfrow = c(2, 2))
hist(airquality$Ozone)
hist(airquality$Solar.R)
hist(airquality$Wind)
hist(airquality$Temp)
List of 5
$ May : int [1:31] 67 72 74 62 56 66 65 59 61 69 ...
$ June : int [1:30] 78 74 67 84 85 79 82 87 90 87 ...
$ July : int [1:31] 84 85 81 84 83 83 88 92 92 89 ...
$ August : int [1:31] 81 81 82 86 85 87 89 90 90 92 ...
$ September: int [1:30] 91 92 93 93 87 84 80 78 75 73 ...
par(mfrow = c(2, 3))
qqnorm(s$May, main = "May")
qqnorm(s$June, main = "June")
qqnorm(s$July, main = "July")
qqnorm(s$August, main = "August")
qqnorm(s$September, main = "September")

par(mfrow = c(2, 3)); r <- range(airquality$Temp)
hist(s$May, xlim = r)
hist(s$June, xlim = r)
hist(s$July, xlim = r)
hist(s$August, xlim = r)
hist(s$September, xlim = r)
par(mfrow = c(1, 4))
with(anscombe,
{
rx <- range(x1, x2, x3, x4)
ry <- range(y1, y2, y3, y4)
plot(y1 ~ x1, pch = 16, xlim = rx, ylim = ry); abline(lm(y1 ~ x1), col = "magenta")
plot(y2 ~ x2, pch = 16, xlim = rx, ylim = ry); abline(lm(y2 ~ x2), col = "magenta")
plot(y3 ~ x3, pch = 16, xlim = rx, ylim = ry); abline(lm(y3 ~ x3), col = "magenta")
plot(y4 ~ x4, pch = 16, xlim = rx, ylim = ry); abline(lm(y4 ~ x4), col = "magenta")
})
dlist <- lapply(s, density, na.rm = TRUE)
dxrng <- range(unlist(lapply(dlist, function(d) d$x)))
dyrng <- range(unlist(lapply(dlist, function(d) d$y)))
plot(dxrng, dyrng, xlab = "Temperature", ylab = "Density")
for (i in seq_along(dlist)) lines(dlist[[i]], col = i)
legend("topright", legend = names(dlist),
lty = 1, col = seq_along(dlist))
Although not very difficult, these plots are not simple either
The results leave a lot to be desired
Eventually led to the development of alternative systems such as lattice and ggplot2
Let’s see some examples for comparison
lattice plot
lattice plot
ggplot2 plot
ggplot2 plot
lattice and ggplot2Both are add-on packages
lattice is based on Trellis graphics in S-PLUS
ggplot2 is based on the “Grammar of Graphics”
Two very different philosophical approaches
We will learn about both these in a little more detail
latticePackage implementing high-level statistical displays
Philosophically similar to traditional R graphics
Different function for different types of displays (histograms, scatter plots, etc.)
Customization done using low-level functions
Extensively uses formula-data interface
Use as much of the available space as possible
Enable direct comparsion by superposition (grouping) when possible
Encourage comparison when juxtaposing (conditioning):
xyplot()
'data.frame': 11 obs. of 8 variables:
$ x1: num 10 8 13 9 11 14 6 4 12 7 ...
$ x2: num 10 8 13 9 11 14 6 4 12 7 ...
$ x3: num 10 8 13 9 11 14 6 4 12 7 ...
$ x4: num 8 8 8 8 8 8 8 19 8 8 ...
$ y1: num 8.04 6.95 7.58 8.81 8.33 ...
$ y2: num 9.14 8.14 8.74 8.77 9.26 8.1 6.13 3.1 9.13 7.26 ...
$ y3: num 7.46 6.77 12.74 7.11 7.81 ...
$ y4: num 6.58 5.76 7.71 8.84 8.47 7.04 5.25 12.5 5.56 7.91 ...
anscombe.long <-
with(anscombe,
data.frame(x = c(x1, x2, x3, x4),
y = c(y1, y2, y3, y4),
which = factor(rep(1:4, each = nrow(anscombe)))))
str(anscombe.long) # OK'data.frame': 44 obs. of 3 variables:
$ x : num 10 8 13 9 11 14 6 4 12 7 ...
$ y : num 8.04 6.95 7.58 8.81 8.33 ...
$ which: Factor w/ 4 levels "1","2","3","4": 1 1 1 1 1 1 1 1 1 1 ...

Here x and y are “primary variables”, which is a “conditioning variable”.
How can we add regression lines as before?
There is not one but four lines to add
lattice is to define a procedure to display data:
latticeWhole display created in one step; “work-in-progress” model does not work
Each high-level plot has a default display
Variables play different roles: primary, conditioning, grouping (superposition)
Can be customized by a user-supplied “panel” function
In fact, many other aspects can be customized: axis annotation, strips, legends
ggplot2




bwplot(fmonth ~ Ozone + Solar.R, airquality, outer = TRUE,
between = list(x = 1),
scales = list(x = "free"), xlab = NULL)
bwplot(fmonth ~ Ozone + Solar.R, airquality, outer = TRUE,
between = list(x = 1), panel = panel.violin,
scales = list(x = "free"), xlab = NULL)
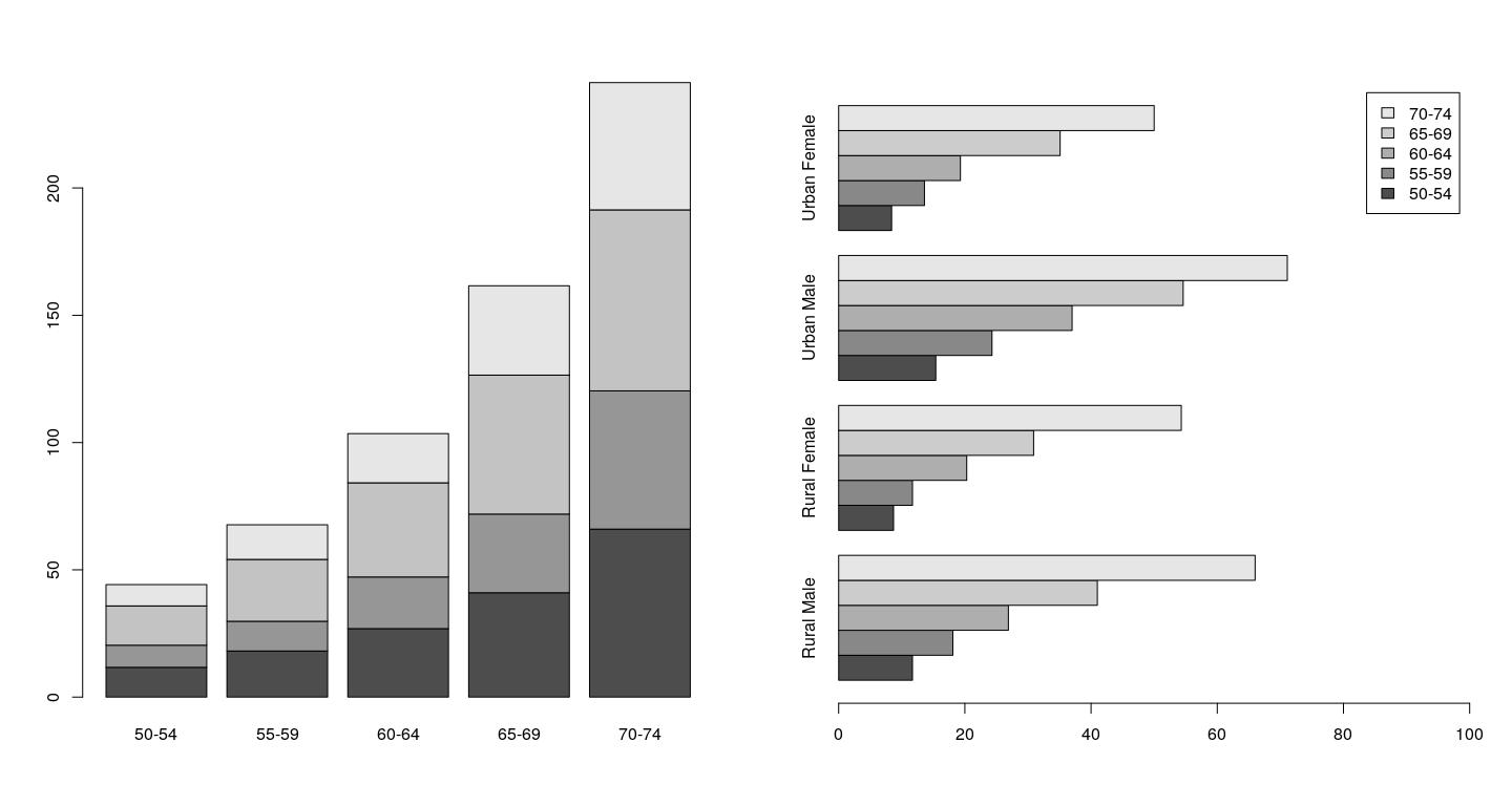
Some common displays are designed for tabular data: bar chart, dot plot, pie chart
Data are typically counts or rates obtained by cross classification by multiple factors
Rural Male Rural Female Urban Male Urban Female
50-54 11.7 8.7 15.4 8.4
55-59 18.1 11.7 24.3 13.6
60-64 26.9 20.3 37.0 19.3
65-69 41.0 30.9 54.6 35.1
70-74 66.0 54.3 71.1 50.0
VADeathsDF <- as.data.frame.table(VADeaths, responseName = "Rate")
str(VADeathsDF) # Better format for graphics functions'data.frame': 20 obs. of 3 variables:
$ Var1: Factor w/ 5 levels "50-54","55-59",..: 1 2 3 4 5 1 2 3 4 5 ...
$ Var2: Factor w/ 4 levels "Rural Male","Rural Female",..: 1 1 1 1 1 2 2 2 2 2 ...
$ Rate: num 11.7 18.1 26.9 41 66 8.7 11.7 20.3 30.9 54.3 ...
par(mfrow = c(1, 2))
barplot(t(VADeaths))
barplot(VADeaths, beside=TRUE, horiz=TRUE,
legend.text=TRUE, xlim = c(0, 100))
lattice
barchart(Rate ~ Var1 | Var2, VADeathsDF, layout = c(4, 1), origin = 0,
scales = list(x = list(rot = 45)))

dotplot(Rate ~ Var1, VADeathsDF, groups = Var2, type = "o",
auto.key = list(columns = 2, points = TRUE, lines = TRUE))
cloud(depth ~ lat * long, data = quakes,
zlim = rev(range(quakes$depth)),
screen = list(z = 105, x = -70), panel.aspect = 0.75,
xlab = "Longitude", ylab = "Latitude", zlab = "Depth")
wireframe(Freq ~ Var1 + Var2, data = as.data.frame.table(volcano),
shade = TRUE, aspect = c(61/87, 0.5))
Separate function for each display type
Display can be customized
Many other advanced features - see manual (start with package?lattice)
Traditional graphics and lattice are both procedural in their approach
The “grammar of graphics” takes a declarative approach
The user describes a plot using a layered grammar
A plot is composed by “adding” various components
Has one or more layers, each associated with a dataset
Rather than using predefined designs, user describes each layer
lattice) to produce small multiples.

p <- ggplot(airquality, aes(x = Ozone, y = Solar.R))
p + geom_bar(stat = "identity", position = "identity")
The grammar approach makes it easy to create nonsense
But it also frees you from pre-defined plot types
Let’s go through some examples






qplot()Using the full grammar everytime is unnecessary
Most common plots can be created using qplot()


qplot(x = x, y = y, data = anscombe.long, facets = ~ which) +
stat_smooth(method = "lm", se = FALSE)
qplot(x = x, y = y, data = anscombe.long, facets = ~ which) +
stat_smooth(method = "lm", se = FALSE) +
stat_smooth(method = "lm", formula = y ~ poly(x, 2), se = FALSE)

Traditional R graphics is usually good for static plots
There is some support for interaction, but this is rudimentary
A useful package for interactive 3-D plots is rgl
Uses OpenGL to provide 3-D plots that can be rotated and zoomed
rglSeveral add-on packages provide some useful interfaces:
Package plotly and rbokeh: Javascript-based plots in browser
Package rggobi: Interactive and dynamic graphics using GGobi (tours, brushing/linking)
Demos: