Deepayan Sarkar
Computing software is essential for modern statistics
Many softwares are available
We will learn and use R
Available as Free / Open Source Software
Very popular (both academia and industry)
Easy to try out on your own
Installing R
Some examples
Fitting linear models in R
There are several different interfaces to do this
R itself works on many platforms (Windows, Mac, UNIX, Linux)
Some interfaces are platform-specific, some work on most
Go to https://cran.r-project.org/ (or choose a mirror first)
Follow instructions depending on your platform (probably Windows)
I will recommend a different interface called R Studio that needs to be installed separately
I personally use yet another interface called ESS which works with a general purpose editor called Emacs (download link for Windows)
R Under development (unstable) (2018-05-05 r74699) -- "Unsuffered Consequences"
Copyright (C) 2018 The R Foundation for Statistical Computing
Platform: x86_64-pc-linux-gnu (64-bit)
R is free software and comes with ABSOLUTELY NO WARRANTY.
You are welcome to redistribute it under certain conditions.
Type 'license()' or 'licence()' for distribution details.
Natural language support but running in an English locale
R is a collaborative project with many contributors.
Type 'contributors()' for more information and
'citation()' on how to cite R or R packages in publications.
Type 'demo()' for some demos, 'help()' for on-line help, or
'help.start()' for an HTML browser interface to help.
Type 'q()' to quit R.
Loading required package: utils
>
The > represents a prompt indicating that R is waiting for input.
The difficult part is to learn what to do next

Color combination: Is it white & gold or blue & black ? Let’s count!
Statistics uses data to make inferences
Model:
Let \(p\) be the probability of seeing white & gold
Assume that individuals are independent
Data:
Suppose \(X\) out of \(N\) sampled individuals see white & gold; e.g., \(N = 26\), \(X = 3\).
According to model, \(X \sim Bin(N, p)\)
“Obvious” estimate of \(p = X / N = 3 / 26 = 0.1154\)
But how is this estimate derived?
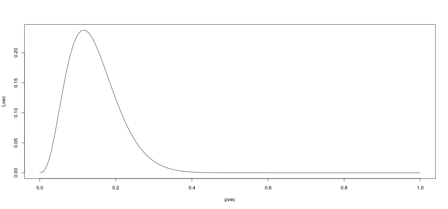
\[ L(p) = P(X = 3) = {26 \choose 3} p^{3} (1-p)^{(26-3)}, p \in (0, 1) \]
Intuition: \(p\) that gives higher \(L(p)\) is more “likely” to be correct
Maximum likelihood estimate \(\hat{p} = \arg \max L(p)\)
Pretend for the moment that we did not know how to do this. How could we arrive at the same solution numerically?
Basic idea: Compute \(L(p)\) for various values of \(p\) and find minimum.
[1] 3.874302e-05
[1] 0.00 0.01 0.02 0.03 0.04 0.05 0.06 0.07 0.08 0.09 0.10 0.11 0.12 0.13 0.14 0.15 0.16 0.17 0.18 0.19 0.20 0.21 0.22
[24] 0.23 0.24 0.25 0.26 0.27 0.28 0.29 0.30 0.31 0.32 0.33 0.34 0.35 0.36 0.37 0.38 0.39 0.40 0.41 0.42 0.43 0.44 0.45
[47] 0.46 0.47 0.48 0.49 0.50 0.51 0.52 0.53 0.54 0.55 0.56 0.57 0.58 0.59 0.60 0.61 0.62 0.63 0.64 0.65 0.66 0.67 0.68
[70] 0.69 0.70 0.71 0.72 0.73 0.74 0.75 0.76 0.77 0.78 0.79 0.80 0.81 0.82 0.83 0.84 0.85 0.86 0.87 0.88 0.89 0.90 0.91
[93] 0.92 0.93 0.94 0.95 0.96 0.97 0.98 0.99 1.00
[1] 0.000000e+00 2.063397e-03 1.306962e-02 3.484071e-02 6.507163e-02 9.989098e-02 1.353218e-01 1.680255e-01
[9] 1.955975e-01 2.165972e-01 2.304364e-01 2.372038e-01 2.374754e-01 2.321380e-01 2.222398e-01 2.088731e-01
[17] 1.930887e-01 1.758394e-01 1.579463e-01 1.400843e-01 1.227815e-01 1.064276e-01 9.128875e-02 7.752531e-02
[25] 6.521083e-02 5.435036e-02 4.489758e-02 3.676973e-02 2.986035e-02 2.404968e-02 1.921286e-02 1.522606e-02
[33] 1.197094e-02 9.337608e-03 7.226377e-03 5.548616e-03 4.226883e-03 3.194561e-03 2.395152e-03 1.781367e-03
[41] 1.314111e-03 9.614378e-04 6.975335e-04 5.017650e-04 3.578129e-04 2.529023e-04 1.771346e-04 1.229170e-04
[49] 8.448390e-05 5.750103e-05 3.874302e-05 2.583412e-05 1.704244e-05 1.111864e-05 7.171083e-06 4.570348e-06
[57] 2.877060e-06 1.788020e-06 1.096455e-06 6.630680e-07 3.951909e-07 2.319791e-07 1.340205e-07 7.614382e-08
[65] 4.250801e-08 2.329584e-08 1.252046e-08 6.592018e-09 3.395859e-09 1.709384e-09 8.395689e-10 4.017005e-10
[73] 1.868984e-10 8.439340e-11 3.690248e-11 1.558753e-11 6.342678e-12 2.478482e-12 9.267846e-13 3.302923e-13
[81] 1.116691e-13 3.562552e-14 1.065817e-14 2.968471e-15 7.630813e-16 1.791963e-16 3.796763e-17 7.148719e-18
[89] 1.173789e-18 1.641251e-19 1.895400e-20 1.736502e-21 1.195106e-22 5.723703e-24 1.705437e-25 2.657384e-27
[97] 1.618702e-29 2.233970e-32 2.052776e-36 2.522777e-43 0.000000e+00

Functions can be used to encapsulate repetitive computations
Like mathematical functions, they take arguments as input and “returns” an output
[1] 3.874302e-05
[1] 0.238106

$maximum
[1] 0.1153795
$objective
[1] 0.238106
Suppose \(X_1, X_2, ..., X_n \sim Bin(N, p)\), and are independent
Instead of observing each \(X_i\), we only get to know \(M = \max(X_1, X_2, ..., X_n)\)
What is the maximum likelihood estimate of \(p\)? (\(N\) and \(n\) are known, \(M = m\) is observed)
To compute likelihood, we need p.m.f. of \(M\) : \[ P(M \leq m) = P(X_1 \leq m, ..., X_n \leq m) = \left[ \sum_{x=0}^m {N \choose x} p^{x} (1-p)^{(N-x)} \right]^n \] and \[ P(M = m) = P(M \leq m) - P(M \leq m-1) \]

$maximum
[1] 0.4996703
$objective
[1] 0.1981222

R can be used to simulate random events
Example: how likely is a common birthday in a group of 20 people?
[1] 80 281 172 138 253 228 225 38 304 238 70 193 49 209 90 170 300 165 125 339
[1] 20
[1] TRUE
[1] TRUE
[1] TRUE
[1] FALSE
With enough replications, sample proportion should converge to probability
Do this sytematically:
[1] TRUE TRUE FALSE FALSE FALSE FALSE FALSE FALSE FALSE TRUE FALSE FALSE FALSE FALSE FALSE FALSE FALSE TRUE FALSE
[20] TRUE TRUE FALSE FALSE TRUE FALSE FALSE FALSE FALSE FALSE FALSE FALSE TRUE TRUE FALSE TRUE TRUE FALSE FALSE
[39] FALSE FALSE TRUE FALSE FALSE TRUE FALSE TRUE TRUE TRUE TRUE FALSE FALSE TRUE FALSE TRUE TRUE TRUE FALSE
[58] FALSE TRUE TRUE FALSE TRUE FALSE FALSE TRUE FALSE FALSE TRUE TRUE FALSE FALSE TRUE TRUE TRUE FALSE FALSE
[77] TRUE TRUE TRUE FALSE TRUE TRUE FALSE FALSE TRUE FALSE TRUE FALSE TRUE FALSE TRUE FALSE FALSE TRUE TRUE
[96] TRUE FALSE FALSE FALSE TRUE
plot(cumsum(replicate(1000, haveCommon())) / 1:1000, type = "l")
lines(cumsum(replicate(1000, haveCommon())) / 1:1000, col = "red")
lines(cumsum(replicate(1000, haveCommon())) / 1:1000, col = "blue")
data(Davis, package = "carData")
library(lattice)
xyplot(weight ~ height, data = Davis, grid = TRUE, type = c("p", "r"))
(Intercept) height
25.2662278 0.2384059
We can confirm using a general optimizer:
SSE = function(beta)
{
with(Davis,
sum((weight - beta[1] - beta[2] * height)^2))
}
optim(c(0, 0), fn = SSE)$par
[1] 25.3053648 0.2381936
$value
[1] 43713.12
$counts
function gradient
99 NA
$convergence
[1] 0
$message
NULL
lm() gives exact solution and more statistically relevant details
Call:
lm(formula = weight ~ height, data = Davis)
Residuals:
Min 1Q Median 3Q Max
-23.696 -9.506 -2.818 6.372 127.145
Coefficients:
Estimate Std. Error t value Pr(>|t|)
(Intercept) 25.26623 14.95042 1.690 0.09260 .
height 0.23841 0.08772 2.718 0.00715 **
---
Signif. codes: 0 '***' 0.001 '**' 0.01 '*' 0.05 '.' 0.1 ' ' 1
Residual standard error: 14.86 on 198 degrees of freedom
Multiple R-squared: 0.03597, Adjusted R-squared: 0.0311
F-statistic: 7.387 on 1 and 198 DF, p-value: 0.007152
lm() gives exact solution and more statistically relevant details
List of 5
$ qr : num [1:200, 1:2] -14.1421 0.0707 0.0707 0.0707 0.0707 ...
..- attr(*, "dimnames")=List of 2
.. ..$ : chr [1:200] "1" "2" "3" "4" ...
.. ..$ : chr [1:2] "(Intercept)" "height"
..- attr(*, "assign")= int [1:2] 0 1
$ qraux: num [1:2] 1.07 1.06
$ pivot: int [1:2] 1 2
$ tol : num 1e-07
$ rank : int 2
- attr(*, "class")= chr "qr"
Suppose we wanted to minimize sum of absolute errors instead of sum of squares
No closed form solution any more, but general optimizer will still work:
SAE = function(beta)
{
with(Davis,
sum(abs(weight - beta[1] - beta[2] * height)))
}
opt = optim(c(0, 0), fn = SAE)
opt$par
[1] -106.000787 1.000005
$value
[1] 1504
$counts
function gradient
169 NA
$convergence
[1] 0
$message
NULL
xyplot(weight ~ height, data = Davis, grid = TRUE,
panel = function(x, y, ...) {
panel.abline(fm, col = "red") # squared errors
panel.abline(opt$par, col = "blue") # absolute errors
panel.xyplot(x, y, ...)
})
R is more flexible than a regular calculator
In fact, R is a full programming language
Most standard data analysis methods are already implemented
Can be extended by writing add-on packages
Thousands of add-on packages are available
See tutorials for more extensive introduction
Variables (in the context of programming)
Data structures needed for data analyis
Functions (set of instructions for performing a procedure)
Variables are symbols that may be associated with different values
Computations involving variables are done using their current value
[1] 3.162278
Warning in sqrt(x): NaNs produced
[1] NaN
[1] 0+1i
Vectors
Matrices
Data frames (a spreadsheet-like data set)
Lists (general collection of objects)
Indexed collection of homogeneous scalars, can be
TRUE / FALSE)Missing values are allowed, indicated as NA
Elements are indexed starting from 1
\(i\)th element of vector x can be extracted using x[i]
There are also more sophisticated forms of (vector) indexing
[1] "January" "February" "March" "April" "May" "June" "July" "August" "September"
[10] "October" "November" "December"
[1] 2.8565572 1.0204668 0.8073835 -0.7793849 1.2002763 0.7292963 -0.6417887 -1.2086116 -1.3804376 -0.9144089
num [1:10] 2.857 1.02 0.807 -0.779 1.2 ...
chr [1:12] "January" "February" "March" "April" "May" "June" "July" "August" "September" "October" "November" ...
[1] 12 5 2 12 2 1 12 7 2 9 8 4 4 8 3 12 2 3 4 12 4 1 3 7 5 5 7 1 10 2
[1] December May February December February January December July February September August
[12] April April August March December February March April December April January
[23] March July May May July January October February
Levels: January February March April May June July August September October November December
int [1:30] 12 5 2 12 2 1 12 7 2 9 ...
Factor w/ 12 levels "January","February",..: 12 5 2 12 2 1 12 7 2 9 ...
Lists are vectors with arbitrary types of components
May or may not have names
Elements can be extracted either by name ($) or by position x[[i]]
List of 2
$ imonth: int [1:30] 12 5 2 12 2 1 12 7 2 9 ...
$ fmonth: Factor w/ 12 levels "January","February",..: 12 5 2 12 2 1 12 7 2 9 ...
[1] 12 5 2 12 2 1 12 7 2 9 8 4 4 8 3 12 2 3 4 12 4 1 3 7 5 5 7 1 10 2
[1] December May February December February January December July February September August
[12] April April August March December February March April December April January
[23] March July May May July January October February
Levels: January February March April May June July August September October November December
[1] December May February December February January December July February September August
[12] April April August March December February March April December April January
[23] March July May May July January October February
Levels: January February March April May June July August September October November December
Vectors, matrices / arrays: vectors with dimension
Rural Male Rural Female Urban Male Urban Female
50-54 11.7 8.7 15.4 8.4
55-59 18.1 11.7 24.3 13.6
60-64 26.9 20.3 37.0 19.3
65-69 41.0 30.9 54.6 35.1
70-74 66.0 54.3 71.1 50.0
[1] 5 4
Data frames: lists that also behave like a matrix
'data.frame': 150 obs. of 5 variables:
$ Sepal.Length: num 5.1 4.9 4.7 4.6 5 5.4 4.6 5 4.4 4.9 ...
$ Sepal.Width : num 3.5 3 3.2 3.1 3.6 3.9 3.4 3.4 2.9 3.1 ...
$ Petal.Length: num 1.4 1.4 1.3 1.5 1.4 1.7 1.4 1.5 1.4 1.5 ...
$ Petal.Width : num 0.2 0.2 0.2 0.2 0.2 0.4 0.3 0.2 0.2 0.1 ...
$ Species : Factor w/ 3 levels "setosa","versicolor",..: 1 1 1 1 1 1 1 1 1 1 ...
[1] 150 5
Sepal.Length Sepal.Width Petal.Length Petal.Width Species
1 5.1 3.5 1.4 0.2 setosa
2 4.9 3.0 1.4 0.2 setosa
3 4.7 3.2 1.3 0.2 setosa
4 4.6 3.1 1.5 0.2 setosa
5 5.0 3.6 1.4 0.2 setosa
6 5.4 3.9 1.7 0.4 setosa
7 4.6 3.4 1.4 0.3 setosa
8 5.0 3.4 1.5 0.2 setosa
9 4.4 2.9 1.4 0.2 setosa
10 4.9 3.1 1.5 0.1 setosa
11 5.4 3.7 1.5 0.2 setosa
12 4.8 3.4 1.6 0.2 setosa
13 4.8 3.0 1.4 0.1 setosa
14 4.3 3.0 1.1 0.1 setosa
15 5.8 4.0 1.2 0.2 setosa
16 5.7 4.4 1.5 0.4 setosa
17 5.4 3.9 1.3 0.4 setosa
18 5.1 3.5 1.4 0.3 setosa
19 5.7 3.8 1.7 0.3 setosa
20 5.1 3.8 1.5 0.3 setosa
21 5.4 3.4 1.7 0.2 setosa
22 5.1 3.7 1.5 0.4 setosa
23 4.6 3.6 1.0 0.2 setosa
24 5.1 3.3 1.7 0.5 setosa
25 4.8 3.4 1.9 0.2 setosa
26 5.0 3.0 1.6 0.2 setosa
27 5.0 3.4 1.6 0.4 setosa
28 5.2 3.5 1.5 0.2 setosa
29 5.2 3.4 1.4 0.2 setosa
30 4.7 3.2 1.6 0.2 setosa
31 4.8 3.1 1.6 0.2 setosa
32 5.4 3.4 1.5 0.4 setosa
33 5.2 4.1 1.5 0.1 setosa
34 5.5 4.2 1.4 0.2 setosa
35 4.9 3.1 1.5 0.2 setosa
36 5.0 3.2 1.2 0.2 setosa
37 5.5 3.5 1.3 0.2 setosa
38 4.9 3.6 1.4 0.1 setosa
39 4.4 3.0 1.3 0.2 setosa
40 5.1 3.4 1.5 0.2 setosa
41 5.0 3.5 1.3 0.3 setosa
42 4.5 2.3 1.3 0.3 setosa
43 4.4 3.2 1.3 0.2 setosa
44 5.0 3.5 1.6 0.6 setosa
45 5.1 3.8 1.9 0.4 setosa
46 4.8 3.0 1.4 0.3 setosa
47 5.1 3.8 1.6 0.2 setosa
48 4.6 3.2 1.4 0.2 setosa
49 5.3 3.7 1.5 0.2 setosa
50 5.0 3.3 1.4 0.2 setosa
51 7.0 3.2 4.7 1.4 versicolor
52 6.4 3.2 4.5 1.5 versicolor
53 6.9 3.1 4.9 1.5 versicolor
54 5.5 2.3 4.0 1.3 versicolor
55 6.5 2.8 4.6 1.5 versicolor
56 5.7 2.8 4.5 1.3 versicolor
57 6.3 3.3 4.7 1.6 versicolor
58 4.9 2.4 3.3 1.0 versicolor
59 6.6 2.9 4.6 1.3 versicolor
60 5.2 2.7 3.9 1.4 versicolor
61 5.0 2.0 3.5 1.0 versicolor
62 5.9 3.0 4.2 1.5 versicolor
63 6.0 2.2 4.0 1.0 versicolor
64 6.1 2.9 4.7 1.4 versicolor
65 5.6 2.9 3.6 1.3 versicolor
66 6.7 3.1 4.4 1.4 versicolor
67 5.6 3.0 4.5 1.5 versicolor
68 5.8 2.7 4.1 1.0 versicolor
69 6.2 2.2 4.5 1.5 versicolor
70 5.6 2.5 3.9 1.1 versicolor
71 5.9 3.2 4.8 1.8 versicolor
72 6.1 2.8 4.0 1.3 versicolor
73 6.3 2.5 4.9 1.5 versicolor
74 6.1 2.8 4.7 1.2 versicolor
75 6.4 2.9 4.3 1.3 versicolor
76 6.6 3.0 4.4 1.4 versicolor
77 6.8 2.8 4.8 1.4 versicolor
78 6.7 3.0 5.0 1.7 versicolor
79 6.0 2.9 4.5 1.5 versicolor
80 5.7 2.6 3.5 1.0 versicolor
81 5.5 2.4 3.8 1.1 versicolor
82 5.5 2.4 3.7 1.0 versicolor
83 5.8 2.7 3.9 1.2 versicolor
84 6.0 2.7 5.1 1.6 versicolor
85 5.4 3.0 4.5 1.5 versicolor
86 6.0 3.4 4.5 1.6 versicolor
87 6.7 3.1 4.7 1.5 versicolor
88 6.3 2.3 4.4 1.3 versicolor
89 5.6 3.0 4.1 1.3 versicolor
90 5.5 2.5 4.0 1.3 versicolor
91 5.5 2.6 4.4 1.2 versicolor
92 6.1 3.0 4.6 1.4 versicolor
93 5.8 2.6 4.0 1.2 versicolor
94 5.0 2.3 3.3 1.0 versicolor
95 5.6 2.7 4.2 1.3 versicolor
96 5.7 3.0 4.2 1.2 versicolor
97 5.7 2.9 4.2 1.3 versicolor
98 6.2 2.9 4.3 1.3 versicolor
99 5.1 2.5 3.0 1.1 versicolor
100 5.7 2.8 4.1 1.3 versicolor
101 6.3 3.3 6.0 2.5 virginica
102 5.8 2.7 5.1 1.9 virginica
103 7.1 3.0 5.9 2.1 virginica
104 6.3 2.9 5.6 1.8 virginica
105 6.5 3.0 5.8 2.2 virginica
106 7.6 3.0 6.6 2.1 virginica
107 4.9 2.5 4.5 1.7 virginica
108 7.3 2.9 6.3 1.8 virginica
109 6.7 2.5 5.8 1.8 virginica
110 7.2 3.6 6.1 2.5 virginica
111 6.5 3.2 5.1 2.0 virginica
112 6.4 2.7 5.3 1.9 virginica
113 6.8 3.0 5.5 2.1 virginica
114 5.7 2.5 5.0 2.0 virginica
115 5.8 2.8 5.1 2.4 virginica
116 6.4 3.2 5.3 2.3 virginica
117 6.5 3.0 5.5 1.8 virginica
118 7.7 3.8 6.7 2.2 virginica
119 7.7 2.6 6.9 2.3 virginica
120 6.0 2.2 5.0 1.5 virginica
121 6.9 3.2 5.7 2.3 virginica
122 5.6 2.8 4.9 2.0 virginica
123 7.7 2.8 6.7 2.0 virginica
124 6.3 2.7 4.9 1.8 virginica
125 6.7 3.3 5.7 2.1 virginica
126 7.2 3.2 6.0 1.8 virginica
127 6.2 2.8 4.8 1.8 virginica
128 6.1 3.0 4.9 1.8 virginica
129 6.4 2.8 5.6 2.1 virginica
130 7.2 3.0 5.8 1.6 virginica
131 7.4 2.8 6.1 1.9 virginica
132 7.9 3.8 6.4 2.0 virginica
133 6.4 2.8 5.6 2.2 virginica
134 6.3 2.8 5.1 1.5 virginica
135 6.1 2.6 5.6 1.4 virginica
136 7.7 3.0 6.1 2.3 virginica
137 6.3 3.4 5.6 2.4 virginica
138 6.4 3.1 5.5 1.8 virginica
139 6.0 3.0 4.8 1.8 virginica
140 6.9 3.1 5.4 2.1 virginica
141 6.7 3.1 5.6 2.4 virginica
142 6.9 3.1 5.1 2.3 virginica
143 5.8 2.7 5.1 1.9 virginica
144 6.8 3.2 5.9 2.3 virginica
145 6.7 3.3 5.7 2.5 virginica
146 6.7 3.0 5.2 2.3 virginica
147 6.3 2.5 5.0 1.9 virginica
148 6.5 3.0 5.2 2.0 virginica
149 6.2 3.4 5.4 2.3 virginica
150 5.9 3.0 5.1 1.8 virginica
Rectangular (matrix-like) structure
Each column is a vector
Different columns can have different types
Every column must have a name
Statistical data are usually structured like a spreadsheet (e.g., Excel)
Typical approach: read data from spreadsheet file into data frame
read.csv() or read.table() (more flexible)write.csv() or write.table()data(Cars93, package = "MASS")
write.csv(Cars93, file = "cars93.csv") # export
cars <- read.csv("cars93.csv") # import (path relative to working directory)'data.frame': 151 obs. of 8 variables:
$ Year : int 1861 1862 1863 1864 1865 1866 1867 1868 1869 1870 ...
$ Temp : num -0.411 -0.518 -0.315 -0.491 -0.296 -0.295 -0.315 -0.268 -0.287 -0.282 ...
$ CO2 : num 286 287 287 287 287 ...
$ CH4 : num 838 840 841 842 844 ...
$ NO2 : num 289 289 289 289 289 ...
$ Irradiance: num 1361 1361 1361 1361 1361 ...
$ Nino_SST : num 26.7 26.4 26.2 26.3 26.3 ...
$ Volcano : num 0.00281 0.00859 0.01318 0.00707 0.00302 ...
'data.frame': 200 obs. of 5 variables:
$ sex : Factor w/ 2 levels "F","M": 2 1 1 2 1 2 2 2 2 2 ...
$ weight: int 77 58 53 68 59 76 76 69 71 65 ...
$ height: int 182 161 161 177 157 170 167 186 178 171 ...
$ repwt : int 77 51 54 70 59 76 77 73 71 64 ...
$ repht : int 180 159 158 175 155 165 165 180 175 170 ...
sex weight height repwt repht
1 M 77 182 77 180
2 F 58 161 51 159
3 F 53 161 54 158
4 M 68 177 70 175
5 F 59 157 59 155
6 M 76 170 76 165
[1] 182 161 161 177 157 170 167 186 178 171 175 57 161 168 163 166 187 168 197 175 180 170 175 173 171 166 169 166
[29] 157 183 166 178 173 164 169 176 166 174 178 187 164 178 163 183 179 160 180 161 174 162 182 165 169 185 177 176
[57] 170 183 172 173 165 177 180 173 189 162 165 164 158 178 175 173 165 163 166 171 160 160 182 183 165 168 169 167
[85] 170 182 178 165 163 162 173 161 184 180 189 165 185 169 159 155 164 178 163 163 175 164 152 167 166 166 183 179
[113] 174 179 167 168 184 184 169 178 178 167 178 165 179 169 153 157 171 157 166 185 160 148 177 162 172 167 188 191
[141] 175 163 165 176 171 160 165 157 173 184 168 162 150 162 163 169 172 170 169 167 163 161 162 172 163 159 170 166
[169] 191 158 169 163 170 176 168 178 174 170 178 174 176 154 181 165 173 162 172 169 183 158 185 173 164 156 164 175
[197] 180 175 181 177
[1] M F F M F M M M M M M F F F F F M F M F M F M M F F F F F M F M M F F M F M M M F M F M M F M F F F M F M M M M F
[58] M M M M M M F M F F F F M F M F F F F F F M M F M F F F M M F F F M F M M M F M F F F F M F F F F F F F F M M F M
[115] F F M M M M M M F F M F F F F F F M F F M F F F M M M F F F F F F F F M F F F F F M M F F F F F F F M F F F M F M
[172] F M M M M F M M M M F M F M F F F M F M M F F F M M M M M
Levels: F M
[1] 171
'data.frame': 102 obs. of 6 variables:
$ education: num 13.1 12.3 12.8 11.4 14.6 ...
$ income : int 12351 25879 9271 8865 8403 11030 8258 14163 11377 11023 ...
$ women : num 11.16 4.02 15.7 9.11 11.68 ...
$ prestige : num 68.8 69.1 63.4 56.8 73.5 77.6 72.6 78.1 73.1 68.8 ...
$ census : int 1113 1130 1171 1175 2111 2113 2133 2141 2143 2153 ...
$ type : Factor w/ 3 levels "bc","prof","wc": 2 2 2 2 2 2 2 2 2 2 ...
education income women prestige census type
gov.administrators 13.11 12351 11.16 68.8 1113 prof
general.managers 12.26 25879 4.02 69.1 1130 prof
accountants 12.77 9271 15.70 63.4 1171 prof
purchasing.officers 11.42 8865 9.11 56.8 1175 prof
chemists 14.62 8403 11.68 73.5 2111 prof
physicists 15.64 11030 5.13 77.6 2113 prof
Most useful things in R happen by calling functions
Functions normally also have a useful “return” value
For example, linear models are fit using the function lm()
The same task can be performed in many different ways in R
To keep things simple, we will initially focus on using the “formula interface”
Functions using the formula interface have two main arguments
y ~ x)




Basic form: y ~ model, where y is the name of the response variable
model consists of a series of terms separated by +
Each term is usually a predictor by itself (main effect), or an interaction
Terms can be functions of variables, possibly a matrix (e.g., log(x), poly(x, 2))
Interactions are defined using a : (e.g., a:b)
The intercept term is represented by 1
In R, each term is a symbolic representation, not the actual columns of \(X\)
Each term gets expanded into one or more columns in \(X\) (using model.matrix())
Some shortcuts:
y ~ a * b is equivalent to y ~ a + b + a:b
y ~ a * b * c is equivalent to y ~ a + b + c + a:b + b:c + c:a + a:b:c
y ~ (a + b + c)^2 is equivalent to y ~ a + b + c + a:b + b:c + c:a
y ~ a * b * c - a:b:c is also equivalent to y ~ a + b + c + a:b + b:c + c:a
y ~ x is equivalent to y ~ 1 + x (intercept term is implied)
y ~ x - 1 and y ~ 0 + x explicitly removes the intercept term
See help(formula) for more details
R converts each model specification into a model matrix \(X\)
Numeric predictors are retained as they are
Categorical predictors are converted using a full rank re-parameterization (which can be customized)
By default, the first column of the dummy variable matrix is omitted
Remaining coefficients represent “effect compared to first (omitted) level”
(Intercept) height
1 1 182
2 1 161
3 1 161
4 1 177
5 1 157
6 1 170
7 1 167
8 1 186
9 1 178
10 1 171
11 1 175
12 1 57
13 1 161
14 1 168
15 1 163
16 1 166
17 1 187
18 1 168
19 1 197
20 1 175
21 1 180
22 1 170
23 1 175
24 1 173
25 1 171
26 1 166
27 1 169
28 1 166
29 1 157
30 1 183
31 1 166
32 1 178
33 1 173
34 1 164
35 1 169
36 1 176
37 1 166
38 1 174
39 1 178
40 1 187
41 1 164
42 1 178
43 1 163
44 1 183
45 1 179
46 1 160
47 1 180
48 1 161
49 1 174
50 1 162
51 1 182
52 1 165
53 1 169
54 1 185
55 1 177
56 1 176
57 1 170
58 1 183
59 1 172
60 1 173
61 1 165
62 1 177
63 1 180
64 1 173
65 1 189
66 1 162
67 1 165
68 1 164
69 1 158
70 1 178
71 1 175
72 1 173
73 1 165
74 1 163
75 1 166
76 1 171
77 1 160
78 1 160
79 1 182
80 1 183
81 1 165
82 1 168
83 1 169
84 1 167
85 1 170
86 1 182
87 1 178
88 1 165
89 1 163
90 1 162
91 1 173
92 1 161
93 1 184
94 1 180
95 1 189
96 1 165
97 1 185
98 1 169
99 1 159
100 1 155
101 1 164
102 1 178
103 1 163
104 1 163
105 1 175
106 1 164
107 1 152
108 1 167
109 1 166
110 1 166
111 1 183
112 1 179
113 1 174
114 1 179
115 1 167
116 1 168
117 1 184
118 1 184
119 1 169
120 1 178
121 1 178
122 1 167
123 1 178
124 1 165
125 1 179
126 1 169
127 1 153
128 1 157
129 1 171
130 1 157
131 1 166
132 1 185
133 1 160
134 1 148
135 1 177
136 1 162
137 1 172
138 1 167
139 1 188
140 1 191
141 1 175
142 1 163
143 1 165
144 1 176
145 1 171
146 1 160
147 1 165
148 1 157
149 1 173
150 1 184
151 1 168
152 1 162
153 1 150
154 1 162
155 1 163
156 1 169
157 1 172
158 1 170
159 1 169
160 1 167
161 1 163
162 1 161
163 1 162
164 1 172
165 1 163
166 1 159
167 1 170
168 1 166
169 1 191
170 1 158
171 1 169
172 1 163
173 1 170
174 1 176
175 1 168
176 1 178
177 1 174
178 1 170
179 1 178
180 1 174
181 1 176
182 1 154
183 1 181
184 1 165
185 1 173
186 1 162
187 1 172
188 1 169
189 1 183
190 1 158
191 1 185
192 1 173
193 1 164
194 1 156
195 1 164
196 1 175
197 1 180
198 1 175
199 1 181
200 1 177
attr(,"assign")
[1] 0 1
(Intercept) height sexM
1 1 182 1
2 1 161 0
3 1 161 0
4 1 177 1
5 1 157 0
6 1 170 1
7 1 167 1
8 1 186 1
9 1 178 1
10 1 171 1
11 1 175 1
12 1 57 0
13 1 161 0
14 1 168 0
15 1 163 0
16 1 166 0
17 1 187 1
18 1 168 0
19 1 197 1
20 1 175 0
21 1 180 1
22 1 170 0
23 1 175 1
24 1 173 1
25 1 171 0
26 1 166 0
27 1 169 0
28 1 166 0
29 1 157 0
30 1 183 1
31 1 166 0
32 1 178 1
33 1 173 1
34 1 164 0
35 1 169 0
36 1 176 1
37 1 166 0
38 1 174 1
39 1 178 1
40 1 187 1
41 1 164 0
42 1 178 1
43 1 163 0
44 1 183 1
45 1 179 1
46 1 160 0
47 1 180 1
48 1 161 0
49 1 174 0
50 1 162 0
51 1 182 1
52 1 165 0
53 1 169 1
54 1 185 1
55 1 177 1
56 1 176 1
57 1 170 0
58 1 183 1
59 1 172 1
60 1 173 1
61 1 165 1
62 1 177 1
63 1 180 1
64 1 173 0
65 1 189 1
66 1 162 0
67 1 165 0
68 1 164 0
69 1 158 0
70 1 178 1
71 1 175 0
72 1 173 1
73 1 165 0
74 1 163 0
75 1 166 0
76 1 171 0
77 1 160 0
78 1 160 0
79 1 182 1
80 1 183 1
81 1 165 0
82 1 168 1
83 1 169 0
84 1 167 0
85 1 170 0
86 1 182 1
87 1 178 1
88 1 165 0
89 1 163 0
90 1 162 0
91 1 173 1
92 1 161 0
93 1 184 1
94 1 180 1
95 1 189 1
96 1 165 0
97 1 185 1
98 1 169 0
99 1 159 0
100 1 155 0
101 1 164 0
102 1 178 1
103 1 163 0
104 1 163 0
105 1 175 0
106 1 164 0
107 1 152 0
108 1 167 0
109 1 166 0
110 1 166 0
111 1 183 1
112 1 179 1
113 1 174 0
114 1 179 1
115 1 167 0
116 1 168 0
117 1 184 1
118 1 184 1
119 1 169 1
120 1 178 1
121 1 178 1
122 1 167 1
123 1 178 0
124 1 165 0
125 1 179 1
126 1 169 0
127 1 153 0
128 1 157 0
129 1 171 0
130 1 157 0
131 1 166 0
132 1 185 1
133 1 160 0
134 1 148 0
135 1 177 1
136 1 162 0
137 1 172 0
138 1 167 0
139 1 188 1
140 1 191 1
141 1 175 1
142 1 163 0
143 1 165 0
144 1 176 0
145 1 171 0
146 1 160 0
147 1 165 0
148 1 157 0
149 1 173 0
150 1 184 1
151 1 168 0
152 1 162 0
153 1 150 0
154 1 162 0
155 1 163 0
156 1 169 1
157 1 172 1
158 1 170 0
159 1 169 0
160 1 167 0
161 1 163 0
162 1 161 0
163 1 162 0
164 1 172 0
165 1 163 1
166 1 159 0
167 1 170 0
168 1 166 0
169 1 191 1
170 1 158 0
171 1 169 1
172 1 163 0
173 1 170 1
174 1 176 1
175 1 168 1
176 1 178 1
177 1 174 0
178 1 170 1
179 1 178 1
180 1 174 1
181 1 176 1
182 1 154 0
183 1 181 1
184 1 165 0
185 1 173 1
186 1 162 0
187 1 172 0
188 1 169 0
189 1 183 1
190 1 158 0
191 1 185 1
192 1 173 1
193 1 164 0
194 1 156 0
195 1 164 0
196 1 175 1
197 1 180 1
198 1 175 1
199 1 181 1
200 1 177 1
attr(,"assign")
[1] 0 1 2
attr(,"contrasts")
attr(,"contrasts")$sex
[1] "contr.treatment"
(Intercept) height sexM height:sexM
1 1 182 1 182
2 1 161 0 0
3 1 161 0 0
4 1 177 1 177
5 1 157 0 0
6 1 170 1 170
7 1 167 1 167
8 1 186 1 186
9 1 178 1 178
10 1 171 1 171
11 1 175 1 175
12 1 57 0 0
13 1 161 0 0
14 1 168 0 0
15 1 163 0 0
16 1 166 0 0
17 1 187 1 187
18 1 168 0 0
19 1 197 1 197
20 1 175 0 0
21 1 180 1 180
22 1 170 0 0
23 1 175 1 175
24 1 173 1 173
25 1 171 0 0
26 1 166 0 0
27 1 169 0 0
28 1 166 0 0
29 1 157 0 0
30 1 183 1 183
31 1 166 0 0
32 1 178 1 178
33 1 173 1 173
34 1 164 0 0
35 1 169 0 0
36 1 176 1 176
37 1 166 0 0
38 1 174 1 174
39 1 178 1 178
40 1 187 1 187
41 1 164 0 0
42 1 178 1 178
43 1 163 0 0
44 1 183 1 183
45 1 179 1 179
46 1 160 0 0
47 1 180 1 180
48 1 161 0 0
49 1 174 0 0
50 1 162 0 0
51 1 182 1 182
52 1 165 0 0
53 1 169 1 169
54 1 185 1 185
55 1 177 1 177
56 1 176 1 176
57 1 170 0 0
58 1 183 1 183
59 1 172 1 172
60 1 173 1 173
61 1 165 1 165
62 1 177 1 177
63 1 180 1 180
64 1 173 0 0
65 1 189 1 189
66 1 162 0 0
67 1 165 0 0
68 1 164 0 0
69 1 158 0 0
70 1 178 1 178
71 1 175 0 0
72 1 173 1 173
73 1 165 0 0
74 1 163 0 0
75 1 166 0 0
76 1 171 0 0
77 1 160 0 0
78 1 160 0 0
79 1 182 1 182
80 1 183 1 183
81 1 165 0 0
82 1 168 1 168
83 1 169 0 0
84 1 167 0 0
85 1 170 0 0
86 1 182 1 182
87 1 178 1 178
88 1 165 0 0
89 1 163 0 0
90 1 162 0 0
91 1 173 1 173
92 1 161 0 0
93 1 184 1 184
94 1 180 1 180
95 1 189 1 189
96 1 165 0 0
97 1 185 1 185
98 1 169 0 0
99 1 159 0 0
100 1 155 0 0
101 1 164 0 0
102 1 178 1 178
103 1 163 0 0
104 1 163 0 0
105 1 175 0 0
106 1 164 0 0
107 1 152 0 0
108 1 167 0 0
109 1 166 0 0
110 1 166 0 0
111 1 183 1 183
112 1 179 1 179
113 1 174 0 0
114 1 179 1 179
115 1 167 0 0
116 1 168 0 0
117 1 184 1 184
118 1 184 1 184
119 1 169 1 169
120 1 178 1 178
121 1 178 1 178
122 1 167 1 167
123 1 178 0 0
124 1 165 0 0
125 1 179 1 179
126 1 169 0 0
127 1 153 0 0
128 1 157 0 0
129 1 171 0 0
130 1 157 0 0
131 1 166 0 0
132 1 185 1 185
133 1 160 0 0
134 1 148 0 0
135 1 177 1 177
136 1 162 0 0
137 1 172 0 0
138 1 167 0 0
139 1 188 1 188
140 1 191 1 191
141 1 175 1 175
142 1 163 0 0
143 1 165 0 0
144 1 176 0 0
145 1 171 0 0
146 1 160 0 0
147 1 165 0 0
148 1 157 0 0
149 1 173 0 0
150 1 184 1 184
151 1 168 0 0
152 1 162 0 0
153 1 150 0 0
154 1 162 0 0
155 1 163 0 0
156 1 169 1 169
157 1 172 1 172
158 1 170 0 0
159 1 169 0 0
160 1 167 0 0
161 1 163 0 0
162 1 161 0 0
163 1 162 0 0
164 1 172 0 0
165 1 163 1 163
166 1 159 0 0
167 1 170 0 0
168 1 166 0 0
169 1 191 1 191
170 1 158 0 0
171 1 169 1 169
172 1 163 0 0
173 1 170 1 170
174 1 176 1 176
175 1 168 1 168
176 1 178 1 178
177 1 174 0 0
178 1 170 1 170
179 1 178 1 178
180 1 174 1 174
181 1 176 1 176
182 1 154 0 0
183 1 181 1 181
184 1 165 0 0
185 1 173 1 173
186 1 162 0 0
187 1 172 0 0
188 1 169 0 0
189 1 183 1 183
190 1 158 0 0
191 1 185 1 185
192 1 173 1 173
193 1 164 0 0
194 1 156 0 0
195 1 164 0 0
196 1 175 1 175
197 1 180 1 180
198 1 175 1 175
199 1 181 1 181
200 1 177 1 177
attr(,"assign")
[1] 0 1 2 3
attr(,"contrasts")
attr(,"contrasts")$sex
[1] "contr.treatment"
(Intercept) log(ppgdp)
Afghanistan 1 6.212606
Albania 1 8.209907
Algeria 1 8.405815
Angola 1 8.371450
Anguilla 1 9.528801
Argentina 1 9.122831
Armenia 1 8.016549
Aruba 1 10.036772
Australia 1 10.952890
Austria 1 10.717940
Azerbaijan 1 8.637214
Bahamas 1 10.019562
Bahrain 1 9.808303
Bangladesh 1 6.507875
Barbados 1 9.581718
Belarus 1 8.648572
Belgium 1 10.687727
Belize 1 8.410899
Benin 1 6.608136
Bermuda 1 11.436311
Bhutan 1 7.624228
Bolivia 1 7.589791
Bosnia and Herzegovina 1 8.406865
Botswana 1 8.909627
Brazil 1 9.279456
Brunei Darussalam 1 10.393527
Bulgaria 1 8.758585
Burkina Faso 1 6.253252
Burundi 1 5.173887
Cambodia 1 6.681106
Cameroon 1 7.095562
Canada 1 10.744212
Cape Verde 1 8.084562
Cayman Islands 1 10.951647
Central African Republic 1 6.111024
Chad 1 6.589477
Chile 1 9.383260
China 1 8.378850
Colombia 1 8.735975
Comoros 1 6.602045
Congo 1 7.887997
Cook Islands 1 9.410183
Costa Rica 1 8.949469
Cote dIvoire 1 7.051076
Croatia 1 9.533836
Cuba 1 8.648993
Cyprus 1 10.252887
Czech Republic 1 9.843674
Democratic Republic of the Congo 1 5.301313
Denmark 1 10.930070
Djibouti 1 7.156645
Dominica 1 8.856632
Dominican Republic 1 8.555529
Timor Leste 1 6.559757
Ecuador 1 8.312037
Egypt 1 7.883710
El Salvador 1 8.139032
Equatorial Guinea 1 9.732248
Eritrea 1 6.061690
Estonia 1 9.556438
Ethiopia 1 5.782594
Fiji 1 8.173491
Finland 1 10.703283
France 1 10.585217
French Polynesia 1 10.113303
Gabon 1 9.430985
Gambia 1 6.361475
Georgia 1 7.893684
Germany 1 10.593056
Ghana 1 7.195337
Greece 1 10.185043
Greenland 1 10.471431
Grenada 1 8.913147
Guatemala 1 7.966344
Guinea 1 6.057954
Guinea-Bissau 1 6.290457
Guyana 1 8.005033
Haiti 1 6.417875
Honduras 1 7.613917
Hong Kong 1 10.367967
Hungary 1 9.463742
Iceland 1 10.578420
India 1 7.248789
Indonesia 1 7.989323
Iran 1 8.561612
Iraq 1 6.789535
Ireland 1 10.741174
Israel 1 10.285739
Italy 1 10.430495
Jamaica 1 8.496786
Japan 1 10.672227
Jordan 1 8.399603
Kazakhstan 1 9.123333
Kenya 1 6.686859
Kiribati 1 7.291792
Kuwait 1 10.723937
Kyrgyzstan 1 6.763192
Laos 1 6.954257
Latvia 1 9.274535
Lebanon 1 9.136015
Lesotho 1 6.888267
Liberia 1 5.387244
Libya 1 9.334397
Lithuania 1 9.303421
Luxembourg 1 11.562624
Macao 1 10.819582
Madagascar 1 6.044768
Malawi 1 5.878856
Malaysia 1 9.032744
Maldives 1 8.452014
Mali 1 6.394928
Malta 1 9.883244
Marshall Islands 1 8.029237
Mauritania 1 7.030946
Mauritius 1 8.921097
Mexico 1 9.116107
Micronesia 1 7.892900
Moldova 1 7.393755
Mongolia 1 7.717218
Montenegro 1 8.781064
Morocco 1 7.960324
Mozambique 1 6.010041
Myanmar 1 6.775594
Namibia 1 8.541827
Nauru 1 8.730707
Nepal 1 6.281706
Neth Antilles 1 9.919415
Netherlands 1 10.755980
New Caledonia 1 10.472190
New Zealand 1 10.385052
Nicaragua 1 7.031653
Niger 1 5.879695
Nigeria 1 7.122705
North Korea 1 6.222576
Norway 1 11.345556
Oman 1 9.942275
Pakistan 1 6.910950
Palau 1 9.289318
Palestinian Territory 1 7.506317
Panama 1 8.937744
Papua New Guinea 1 7.264310
Paraguay 1 7.927000
Peru 1 8.596134
Philippines 1 7.668608
Poland 1 9.414358
Portugal 1 9.972902
Puerto Rico 1 10.183427
Qatar 1 11.189933
Republic of Korea 1 9.954760
Romania 1 8.925641
Russian Federation 1 9.244877
Rwanda 1 6.277207
Saint Lucia 1 8.806439
Samoa 1 8.114714
Sao Tome and Principe 1 7.157190
Saudi Arabia 1 9.670035
Senegal 1 6.939932
Serbia 1 8.541535
Seychelles 1 9.345797
Sierra Leone 1 5.862779
Singapore 1 10.687003
Slovakia 1 9.678843
Slovenia 1 10.048012
Solomon Islands 1 7.084645
Somalia 1 4.743191
South Africa 1 8.889419
Spain 1 10.326884
Sri Lanka 1 7.772879
St Vincent and Grenadines 1 8.727730
Sudan 1 7.509280
Suriname 1 8.856234
Swaziland 1 8.105066
Sweden 1 10.797659
Switzerland 1 11.140124
Syria 1 7.983270
Tajikistan 1 6.704414
Tanzania 1 6.246107
TFYR Macedonia 1 8.397170
Thailand 1 8.436590
Togo 1 6.262636
Tonga 1 8.172757
Trinidad and Tobago 1 9.629386
Tunisia 1 8.348088
Turkey 1 9.219805
Turkmenistan 1 8.431090
Tuvalu 1 8.066898
Uganda 1 6.232448
Ukraine 1 8.017967
United Arab Emirates 1 10.587208
United Kingdom 1 10.500311
United States 1 10.748194
Uruguay 1 9.388687
Uzbekistan 1 7.263540
Vanuatu 1 7.994126
Venezuela 1 9.510645
Viet Nam 1 7.075555
Yemen 1 7.270452
Zambia 1 7.121091
Zimbabwe 1 6.351060
attr(,"assign")
[1] 0 1
data(Prestige, package = "carData")
Prestige$income.sq <- Prestige$income^2
model.matrix( ~ 1 + income + income.sq, data = Prestige) (Intercept) income income.sq
gov.administrators 1 12351 152547201
general.managers 1 25879 669722641
accountants 1 9271 85951441
purchasing.officers 1 8865 78588225
chemists 1 8403 70610409
physicists 1 11030 121660900
biologists 1 8258 68194564
architects 1 14163 200590569
civil.engineers 1 11377 129436129
mining.engineers 1 11023 121506529
surveyors 1 5902 34833604
draughtsmen 1 7059 49829481
computer.programers 1 8425 70980625
economists 1 8049 64786401
psychologists 1 7405 54834025
social.workers 1 6336 40144896
lawyers 1 19263 371063169
librarians 1 6112 37356544
vocational.counsellors 1 9593 92025649
ministers 1 4686 21958596
university.teachers 1 12480 155750400
primary.school.teachers 1 5648 31899904
secondary.school.teachers 1 8034 64545156
physicians 1 25308 640494864
veterinarians 1 14558 211935364
osteopaths.chiropractors 1 17498 306180004
nurses 1 4614 21288996
nursing.aides 1 3485 12145225
physio.therapsts 1 5092 25928464
pharmacists 1 10432 108826624
medical.technicians 1 5180 26832400
commercial.artists 1 6197 38402809
radio.tv.announcers 1 7562 57183844
athletes 1 8206 67338436
secretaries 1 4036 16289296
typists 1 3148 9909904
bookkeepers 1 4348 18905104
tellers.cashiers 1 2448 5992704
computer.operators 1 4330 18748900
shipping.clerks 1 4761 22667121
file.clerks 1 3016 9096256
receptionsts 1 2901 8415801
mail.carriers 1 5511 30371121
postal.clerks 1 3739 13980121
telephone.operators 1 3161 9991921
collectors 1 4741 22477081
claim.adjustors 1 5052 25522704
travel.clerks 1 6259 39175081
office.clerks 1 4075 16605625
sales.supervisors 1 7482 55980324
commercial.travellers 1 8780 77088400
sales.clerks 1 2594 6728836
newsboys 1 918 842724
service.station.attendant 1 2370 5616900
insurance.agents 1 8131 66113161
real.estate.salesmen 1 6992 48888064
buyers 1 7956 63297936
firefighters 1 8895 79121025
policemen 1 8891 79049881
cooks 1 3116 9709456
bartenders 1 3930 15444900
funeral.directors 1 7869 61921161
babysitters 1 611 373321
launderers 1 3000 9000000
janitors 1 3472 12054784
elevator.operators 1 3582 12830724
farmers 1 3643 13271449
farm.workers 1 1656 2742336
rotary.well.drillers 1 6860 47059600
bakers 1 4199 17631601
slaughterers.1 1 5134 26357956
slaughterers.2 1 5134 26357956
canners 1 1890 3572100
textile.weavers 1 4443 19740249
textile.labourers 1 3485 12145225
tool.die.makers 1 8043 64689849
machinists 1 6686 44702596
sheet.metal.workers 1 6565 43099225
welders 1 6477 41951529
auto.workers 1 5811 33767721
aircraft.workers 1 6573 43204329
electronic.workers 1 3942 15539364
radio.tv.repairmen 1 5449 29691601
sewing.mach.operators 1 2847 8105409
auto.repairmen 1 5795 33582025
aircraft.repairmen 1 7716 59536656
railway.sectionmen 1 4696 22052416
electrical.linemen 1 8316 69155856
electricians 1 7147 51079609
construction.foremen 1 8880 78854400
carpenters 1 5299 28079401
masons 1 5959 35509681
house.painters 1 4549 20693401
plumbers 1 6928 47997184
construction.labourers 1 3910 15288100
pilots 1 14032 196897024
train.engineers 1 8845 78234025
bus.drivers 1 5562 30935844
taxi.drivers 1 4224 17842176
longshoremen 1 4753 22591009
typesetters 1 6462 41757444
bookbinders 1 3617 13082689
attr(,"assign")
[1] 0 1 2
(Intercept) poly(income, 2)1 poly(income, 2)2
gov.administrators 1 0.130137548 -0.1072432276
general.managers 1 0.447167922 0.4892810362
accountants 1 0.057957362 -0.0975820423
purchasing.officers 1 0.048442701 -0.0922834385
chemists 1 0.037615674 -0.0851135246
physicists 1 0.099179747 -0.1097078893
biologists 1 0.034217580 -0.0826129170
architects 1 0.172601995 -0.0877174041
civil.engineers 1 0.107311736 -0.1100216640
mining.engineers 1 0.099015702 -0.1096945122
surveyors 1 -0.020995575 -0.0252248050
draughtsmen 1 0.006118865 -0.0573525828
computer.programers 1 0.038131246 -0.0854824785
economists 1 0.029319639 -0.0787981805
psychologists 1 0.014227419 -0.0654814106
social.workers 1 -0.010824730 -0.0381685721
lawyers 1 0.292121133 0.0674919322
librarians 1 -0.016074198 -0.0316216974
vocational.counsellors 1 0.065503473 -0.1011177165
ministers 1 -0.049492687 0.0167476978
university.teachers 1 0.133160679 -0.1064705850
primary.school.teachers 1 -0.026948096 -0.0171524351
secondary.school.teachers 1 0.028968112 -0.0785148400
physicians 1 0.433786465 0.4430616994
veterinarians 1 0.181858869 -0.0809816935
osteopaths.chiropractors 1 0.250758137 -0.0029629262
nurses 1 -0.051180016 0.0194966481
nursing.aides 1 -0.077638272 0.0664579058
physio.therapsts 1 -0.039978026 0.0017985919
pharmacists 1 0.085165543 -0.1075600048
medical.technicians 1 -0.037915735 -0.0013179764
commercial.artists 1 -0.014082213 -0.0341396038
radio.tv.announcers 1 0.017906733 -0.0689453356
athletes 1 0.032998954 -0.0816870139
secretaries 1 -0.064725518 0.0426330809
typists 1 -0.085535909 0.0818806002
bookkeepers 1 -0.057413759 0.0299081857
tellers.cashiers 1 -0.101940497 0.1159802916
computer.operators 1 -0.057835591 0.0306272641
shipping.clerks 1 -0.047735052 0.0139155625
file.clerks 1 -0.088629346 0.0880975999
receptionsts 1 -0.091324385 0.0935947077
mail.carriers 1 -0.030158709 -0.0126460986
postal.clerks 1 -0.071685750 0.0552605954
telephone.operators 1 -0.085231253 0.0812736807
collectors 1 -0.048203755 0.0146676702
claim.adjustors 1 -0.040915431 0.0032297748
travel.clerks 1 -0.012629235 -0.0359502746
office.clerks 1 -0.063811548 0.0410121895
sales.supervisors 1 0.016031923 -0.0671977969
commercial.travellers 1 0.046450716 -0.0910554328
sales.clerks 1 -0.098518969 0.1086380404
newsboys 1 -0.137796239 0.2002157373
service.station.attendant 1 -0.103768437 0.1199525535
insurance.agents 1 0.031241319 -0.0803244883
real.estate.salesmen 1 0.004548712 -0.0556998086
buyers 1 0.027140173 -0.0770208390
firefighters 1 0.049145755 -0.0927070407
policemen 1 0.049052015 -0.0926508562
cooks 1 -0.086285833 0.0833786510
bartenders 1 -0.067209642 0.0470822920
funeral.directors 1 0.025101317 -0.0753136284
babysitters 1 -0.144990822 0.2187217519
launderers 1 -0.089004308 0.0888579101
janitors 1 -0.077942929 0.0670408678
elevator.operators 1 -0.075365065 0.0621384571
farmers 1 -0.073935522 0.0594495128
farm.workers 1 -0.120501116 0.1579222466
rotary.well.drillers 1 0.001455275 -0.0523688918
bakers 1 -0.060905593 0.0359160679
slaughterers.1 1 -0.038993751 0.0003056443
slaughterers.2 1 -0.038993751 0.0003056443
canners 1 -0.115017297 0.1451589655
textile.weavers 1 -0.055187422 0.0261435795
textile.labourers 1 -0.077638272 0.0664579058
tool.die.makers 1 0.029179028 -0.0786849979
machinists 1 -0.002622436 -0.0478267149
sheet.metal.workers 1 -0.005458087 -0.0445665599
welders 1 -0.007520378 -0.0421432322
auto.workers 1 -0.023128171 -0.0223749198
aircraft.workers 1 -0.005270606 -0.0447846782
electronic.workers 1 -0.066928420 0.0465753998
radio.tv.repairmen 1 -0.031611686 -0.0105716461
sewing.mach.operators 1 -0.092589882 0.0962019123
auto.repairmen 1 -0.023503133 -0.0218689722
aircraft.repairmen 1 0.021515743 -0.0722068629
railway.sectionmen 1 -0.049258336 0.0163682312
electrical.linemen 1 0.035576818 -0.0836275106
electricians 1 0.008181156 -0.0594845993
construction.foremen 1 0.048794228 -0.0924958795
carpenters 1 -0.035126955 -0.0054623717
masons 1 -0.019659772 -0.0269859064
house.painters 1 -0.052703299 0.0220036647
plumbers 1 0.003048864 -0.0540971955
construction.labourers 1 -0.067678344 0.0479289326
pilots 1 0.169531993 -0.0897553077
train.engineers 1 0.047973999 -0.0919981932
bus.drivers 1 -0.028963517 -0.0143361135
taxi.drivers 1 -0.060319715 0.0348992178
longshoremen 1 -0.047922533 0.0142161326
typesetters 1 -0.007871905 -0.0417257711
bookbinders 1 -0.074544836 0.0605930322
attr(,"assign")
[1] 0 1 1
poly() function 1 2
[1,] -0.49543369 0.52223297
[2,] -0.38533732 0.17407766
[3,] -0.27524094 -0.08703883
[4,] -0.16514456 -0.26111648
[5,] -0.05504819 -0.34815531
[6,] 0.05504819 -0.34815531
[7,] 0.16514456 -0.26111648
[8,] 0.27524094 -0.08703883
[9,] 0.38533732 0.17407766
[10,] 0.49543369 0.52223297
1 2
1.000000e+01 2.220446e-16 1.110223e-16
1 2.220446e-16 1.000000e+00 -1.773693e-17
2 1.110223e-16 -1.773693e-17 1.000000e+00
Linear models are fit using lm()
The result is usually stored in a variable for further processing
lm()lm() returns a listhelp(lm) for details$qr component represents the QR decomposition used to solve the normal equationsList of 13
$ coefficients : Named num [1:4] 160.497 -0.627 -261.828 1.622
..- attr(*, "names")= chr [1:4] "(Intercept)" "height" "sexM" "height:sexM"
$ residuals : Named num [1:200] -2.87 -1.58 -6.58 -6.89 -3.09 ...
..- attr(*, "names")= chr [1:200] "1" "2" "3" "4" ...
$ effects : Named num [1:200] -930.6 40.4 127.4 87.5 -2.8 ...
..- attr(*, "names")= chr [1:200] "(Intercept)" "height" "sexM" "height:sexM" ...
$ rank : int 4
$ fitted.values: Named num [1:200] 79.9 59.6 59.6 74.9 62.1 ...
..- attr(*, "names")= chr [1:200] "1" "2" "3" "4" ...
$ assign : int [1:4] 0 1 2 3
$ qr :List of 5
..$ qr : num [1:200, 1:4] -14.1421 0.0707 0.0707 0.0707 0.0707 ...
.. ..- attr(*, "dimnames")=List of 2
.. .. ..$ : chr [1:200] "1" "2" "3" "4" ...
.. .. ..$ : chr [1:4] "(Intercept)" "height" "sexM" "height:sexM"
.. ..- attr(*, "assign")= int [1:4] 0 1 2 3
.. ..- attr(*, "contrasts")=List of 1
.. .. ..$ sex: chr "contr.treatment"
..$ qraux: num [1:4] 1.07 1.06 1.04 1.02
..$ pivot: int [1:4] 1 2 3 4
..$ tol : num 1e-07
..$ rank : int 4
..- attr(*, "class")= chr "qr"
$ df.residual : int 196
$ contrasts :List of 1
..$ sex: chr "contr.treatment"
$ xlevels :List of 1
..$ sex: chr [1:2] "F" "M"
$ call : language lm(formula = weight ~ 1 + height * sex, data = Davis)
$ terms :Classes 'terms', 'formula' language weight ~ 1 + height * sex
.. ..- attr(*, "variables")= language list(weight, height, sex)
.. ..- attr(*, "factors")= int [1:3, 1:3] 0 1 0 0 0 1 0 1 1
.. .. ..- attr(*, "dimnames")=List of 2
.. .. .. ..$ : chr [1:3] "weight" "height" "sex"
.. .. .. ..$ : chr [1:3] "height" "sex" "height:sex"
.. ..- attr(*, "term.labels")= chr [1:3] "height" "sex" "height:sex"
.. ..- attr(*, "order")= int [1:3] 1 1 2
.. ..- attr(*, "intercept")= int 1
.. ..- attr(*, "response")= int 1
.. ..- attr(*, ".Environment")=<environment: R_GlobalEnv>
.. ..- attr(*, "predvars")= language list(weight, height, sex)
.. ..- attr(*, "dataClasses")= Named chr [1:3] "numeric" "numeric" "factor"
.. .. ..- attr(*, "names")= chr [1:3] "weight" "height" "sex"
$ model :'data.frame': 200 obs. of 3 variables:
..$ weight: int [1:200] 77 58 53 68 59 76 76 69 71 65 ...
..$ height: int [1:200] 182 161 161 177 157 170 167 186 178 171 ...
..$ sex : Factor w/ 2 levels "F","M": 2 1 1 2 1 2 2 2 2 2 ...
..- attr(*, "terms")=Classes 'terms', 'formula' language weight ~ 1 + height * sex
.. .. ..- attr(*, "variables")= language list(weight, height, sex)
.. .. ..- attr(*, "factors")= int [1:3, 1:3] 0 1 0 0 0 1 0 1 1
.. .. .. ..- attr(*, "dimnames")=List of 2
.. .. .. .. ..$ : chr [1:3] "weight" "height" "sex"
.. .. .. .. ..$ : chr [1:3] "height" "sex" "height:sex"
.. .. ..- attr(*, "term.labels")= chr [1:3] "height" "sex" "height:sex"
.. .. ..- attr(*, "order")= int [1:3] 1 1 2
.. .. ..- attr(*, "intercept")= int 1
.. .. ..- attr(*, "response")= int 1
.. .. ..- attr(*, ".Environment")=<environment: R_GlobalEnv>
.. .. ..- attr(*, "predvars")= language list(weight, height, sex)
.. .. ..- attr(*, "dataClasses")= Named chr [1:3] "numeric" "numeric" "factor"
.. .. .. ..- attr(*, "names")= chr [1:3] "weight" "height" "sex"
- attr(*, "class")= chr "lm"
summary()
Call:
lm(formula = weight ~ 1 + height * sex, data = Davis)
Residuals:
Min 1Q Median 3Q Max
-23.091 -6.331 -0.995 6.207 41.230
Coefficients:
Estimate Std. Error t value Pr(>|t|)
(Intercept) 160.49748 13.45954 11.924 < 2e-16 ***
height -0.62679 0.08199 -7.644 9.17e-13 ***
sexM -261.82753 32.72161 -8.002 1.05e-13 ***
height:sexM 1.62239 0.18644 8.702 1.33e-15 ***
---
Signif. codes: 0 '***' 0.001 '**' 0.01 '*' 0.05 '.' 0.1 ' ' 1
Residual standard error: 10.06 on 196 degrees of freedom
Multiple R-squared: 0.5626, Adjusted R-squared: 0.556
F-statistic: 84.05 on 3 and 196 DF, p-value: < 2.2e-16
anova()Analysis of Variance Table
Response: weight
Df Sum Sq Mean Sq F value Pr(>F)
height 1 1630.9 1630.9 16.119 8.468e-05 ***
sex 1 16219.8 16219.8 160.306 < 2.2e-16 ***
height:sex 1 7662.0 7662.0 75.726 1.329e-15 ***
Residuals 196 19831.3 101.2
---
Signif. codes: 0 '***' 0.001 '**' 0.01 '*' 0.05 '.' 0.1 ' ' 1
anova()Analysis of Variance Table
Model 1: weight ~ 1 + height
Model 2: weight ~ 1 + height * sex
Res.Df RSS Df Sum of Sq F Pr(>F)
1 198 43713
2 196 19831 2 23882 118.02 < 2.2e-16 ***
---
Signif. codes: 0 '***' 0.001 '**' 0.01 '*' 0.05 '.' 0.1 ' ' 1
coefficients() (Intercept) height sexM height:sexM
160.4974836 -0.6267909 -261.8275339 1.6223890
(Intercept) height sexM height:sexM
160.4974836 -0.6267909 -261.8275339 1.6223890

predict(fm, newdata = )newdata is a data frame containing values of predictorsfm.Prestige <- lm(prestige ~ 1 + poly(income, 2), Prestige)
fm.pred.income <- seq(min(Prestige$income), max(Prestige$income), length.out = 100)
fm.pred.prestige <- predict(fm.Prestige, newdata = data.frame(income = fm.pred.income))
plot(prestige ~ income, Prestige)
lines(fm.pred.prestige ~ fm.pred.income)
predict(fm, newdata = )fm.UN <- lm(pctUrban ~ 1 + log(ppgdp), UN)
fm.pred.ppgdp <- seq(min(UN$ppgdp, na.rm = TRUE), max(UN$ppgdp, na.rm = TRUE), length.out = 100)
fm.pred.pctUrban <- predict(fm.UN, newdata = data.frame(ppgdp = fm.pred.ppgdp))
plot(pctUrban ~ ppgdp, UN)
lines(fm.pred.pctUrban ~ fm.pred.ppgdp)
Recall that we can assess goodness of fit using Leave-One-Out Cross-validation
\[ T_{p}^{2}=\sum \left( Y_{i} - \bar{Y}_{(-i)}\right)^{2} \]
\[ S_{p}^{2}=\sum \left( Y_{i}-\mathbf{x}_{i}\widehat{\mathbf{\beta}}_{(-i)}\right)^{2} \]
\[ R_{p}^{2}=\frac{T_{p}^{2}-S_{p}^{2}}{T_{p}^{2}} \]
As an example, we will compare the linear and quadratic model for the prestige data
Prestige datan <- nrow(Prestige)
e.mean <- numeric(n) # initially filled with 0
e.linear <- numeric(n)
e.quadratic <- numeric(n)
y <- Prestige$prestige
for (i in 1:n)
{
d <- Prestige[-i, ]
fm1 <- lm(prestige ~ 1 + income, d)
fm2 <- lm(prestige ~ 1 + poly(income, 2), d)
e.mean[i] <- y[i] - mean(d$prestige, na.rm = TRUE)
e.linear[i] <- y[i] - predict(fm1, newdata = Prestige[i,])
e.quadratic[i] <- y[i] - predict(fm2, newdata = Prestige[i,])
}
T.sq <- sum(e.mean^2)
S1.sq <- sum(e.linear^2)
S2.sq <- sum(e.quadratic^2)Prestige dataPredictive \(R^2\)
[1] 0.4831245
[1] 0.580236
“Usual” \(R^2\) (for comparison)
[1] 0.5110901
[1] 0.5960284