Deepayan Sarkar
Systematic violations
Discordant outliers and influential observations
For now, we will focus on indentifying such observations





Covariate outliers have high leverage (potentially influential)
Whether a discrepant observation (regression outlier) actually influences fit depends on whether it also has high leverage
Roughly, influence = leverage \(\times\) discrepancy
We want to be able to identify high-leverage observations, regression outliers, and influential observations
Relatively simple for single predictor, but want general methods that work with many predictors
In the linear model, \(\hat\beta\) is a linear function of \(\mathbf{y}\):
\[ \hat\beta = (\mathbf{X}^T \mathbf{X})^{-1} \mathbf{X}^T \mathbf{y} \]
So is the vector of fitted values:
\[ \hat{\mathbf{y}} = \mathbf{X} \hat\beta = \mathbf{X} (\mathbf{X}^T \mathbf{X})^{-1} \mathbf{X}^T \mathbf{y} = \mathbf{H} \mathbf{y} \]
where \(\mathbf{H} = \mathbf{X} (\mathbf{X}^T \mathbf{X})^{-1} \mathbf{X}^T\) is known as the “hat matrix”
In scalar notation,
\[ \hat{y_j} = \sum_{i=1}^n h_{ji} y_i = \sum_{i=1}^n h_{ij} y_i \]
\(h_{ij}\)-s depend on \(\mathbf{X}\), not \(\mathbf{y}\)
\(h_{ij}\) captures contribution of \(y_i\) on \(\hat{y_j}\) (larger values means potentially larger impact)
Hat-values (summarize leverage of \(y_i\) on all fitted values):
\[ h_i \equiv h_{ii} = \sum_{j=1}^n h^2_{ij} \]
The last result follows because \(\mathbf{H}\) is symmetric and idempotent (\(\mathbf{H}^2 = \mathbf{H}\))
Corollary: \(V(\hat{\mathbf{y}}) = \sigma^2 \mathbf{H}\) and \(V(\hat{\mathbf{e}}) = \sigma^2 (\mathbf{I} - \mathbf{H})\), where \(e_i = y_i - \hat{y}_i\)
\(0 \leq h_i \leq 1\)
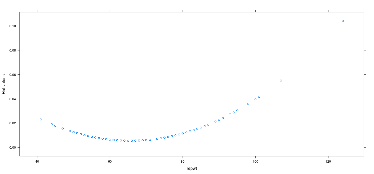
For simple linear regression with one predictor, \(h_i\) simplifies to
\[ h_i = \frac{1}{n} + \frac{(x_i - \bar{x})^2}{\sum_j (x_j - \bar{x})^2} \]
In general, with \(\tilde{\mathbf{X}}\) denoting “centered” \(\mathbf{X}\) (mean zero columns),
\[ h_i = \frac{1}{n} + \tilde{\mathbf{x}}_i^T ( \tilde{\mathbf{X}}^T \tilde{\mathbf{X}} )^{-1} \tilde{\mathbf{x}}_i \]
So \(h_i\) essentially measures (up to scaling) the Mahalanobis distance of \(\mathbf{x}_i\) from the centroid (mean vector) of the covariates (taking their correlation structure into account)
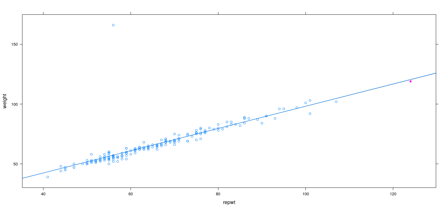
fm <- lm(weight ~ repwt, Davis, na.action = na.exclude)
xyplot(hatvalues(fm) ~ repwt, Davis, ylab = "Hat-values")
fm <- lm(prestige ~ education + income, Duncan, na.action = na.exclude)
id <- which(hatvalues(fm) > 0.15)
levelplot(hatvalues(fm) ~ education + income, Duncan, main = "Hat-values", cex = 1.5,
          panel = panel.levelplot.points, prepanel = prepanel.default.xyplot) +
    layer(panel.text(x[id], y[id], labels = rownames(Duncan)[id], pos = 4, col = "grey50"))
Regression outliers have high discrepancy, i.e., high \(\varepsilon_i\)
Unfortunately, corresponding \(\hat{\varepsilon}_i\) may not be large
As noted earlier, \(V(e_i) = \sigma^2 (1 - h_i)\)
Define standardized residual :
\[ r_i = \frac{e_i}{\hat\sigma \sqrt{1-h_i}} \]
Unfortunately, numerator and denominator are not independent.
Natural fix: estimate \(\sigma\) from model fitted without observation (deletion model)
Define Studentized residual
\[ t_i = \frac{e_i}{\hat\sigma_{(-i)} \sqrt{1-h_i}} \]
\[ \tilde{t}_i = \frac{e_{i(-i)}}{\hat{V} (e_{i(-i)}) } \]
In fact, even though this is not immediately obvious,
\(\tilde{t}_i\) and \(t_i\) are actually the same
Under null hypothesis (no outliers), each \(t_i\) has a \(t_{n-p-1}\) distribution
Consider a model that allows the \(i\)th observation to be fit separately
Additional “predictor” \(\mathbf{u}_k\) — \(k\)-th unit vector in \(\mathbb{R}^n\)
\[ u_{ki} = \begin{cases} 1 & \text{ if } i=k \\ 0 & \text{ otherwise } \end{cases} \]
\[ \mathbf{y} = \mathbf{X} \beta + \mathbf{u}_k \delta + \varepsilon \]
Easy to see that for this model, \(e_k = 0, \hat{y}_k = y_k\)
More importantly,
\(\hat{\beta}\) is same as \(\hat{\beta}_{(-k)}\) for original model
\(\hat{\delta}\) is same as \(e_{k(-k)}\) for original model
RSS is same as RSS\(_{(-k)}\) for original model; so
\(\hat{\sigma}^2 = \frac{\text{RSS}}{n-p-1}\) is same as \(\hat{\sigma}^2_{(-k)} = \frac{\text{RSS}_{(-k)}}{(n-1)-p}\)
Test statistic for \(H_0 : \delta = 0\) :
\[ T_k = \frac{\hat{\delta}}{s.e.(\hat{\delta})} \]
Claim: \(V(\hat{\delta}) = \frac{\sigma^2}{1-h_k}\)
It easily follows that
\[ T_k = \frac{e_{k(-k)} \sqrt{1 - h_k} }{ \hat{\sigma}_{(-k)} } = \tilde{t}_k \text{ (by definition) } \]
Proof of claim requires a basic inversion formula for symmetric partitioned matrices:
\[ \begin{bmatrix} A & B \\ B^T & D \end{bmatrix}^{-1} = \begin{bmatrix} A^{-1} + F E^{-1} F^T & -F E^{-1} \\ - E^{-1} F^T & E^{-1} \end{bmatrix} \] where \(E = D - B^T A^{-1} B\) and \(F = A^{-1} B\) (we only need to compute \(E^{-1}\))
It turns out that it is also true that
The equality \(t_i = \tilde{t}_i\) follows because
\[ e_k = e_{k(-k)} (1 - h_k) \]
\[ (A + u v^T)^{-1} = A^{-1} - \frac{A^{-1} u v^T A^{-1}}{1 + v^T A^{-1} u} \]
\(t_i\) can be used to test if observation \(i\) is an outlier
Makes sense if we suspected that the \(i\)th observation was an outlier
Usually we don’t know in advance, and want to test for all \(i\)
This leads to a multiple testing situation
Expect \(\alpha n\) tests to be rejected even if no outliers (assuming independent tests)
Examine graphically (Q-Q plot comparing to \(t_{n-p-1}\))
Simulate the largest (absolute) \(t_i\) from the null model (distribution does not depend on \(\beta\) or \(\sigma^2\) — exercise)
If we assume independence, the smallest \(p\)-value has a Beta distribution
Another solution (without assuming independence): Bonferroni adjustment
\[ P(\text{at least one rejection}) = P\left(\cup \{np_i < \alpha\}\right) \leq \sum P\left(p_i < \frac{\alpha}{n}\right) \leq \sum \frac{\alpha}{n} = n \frac{\alpha}{n} = \alpha \]
Both these procedures can be viewed as an adjustment to the original \(p\)-values
Test \(i\) is rejected if the adjusted \(p_i\) is less than \(\alpha\)
The Bonferroni adjustment is \(p^{\prime}_i = n p_i\)
Adjustment with independent tests is \(p^{\prime}_i = 1 - (1 - p_i)^n\)
p.adjust() implements various \(p\)-value adjustment procedures in R
fm <- lm(weight ~ height * sex, Davis)
ri <- rstandard(fm)
ti <- rstudent(fm)
pi <- 2 * pt(-abs(ti), df = fm$df.residual - 1)
qqmath(ti, distribution = function(p) qt(p, df = fm$df.residual - 1), grid = TRUE, aspect = "iso")
[1] "12" "21"[1] "12" "21"[1] "12" "21"fm <- lm(prestige ~ education + income, Duncan)
ri <- rstandard(fm)
ti <- rstudent(fm)
pi <- 2 * pt(-abs(ti), df = fm$df.residual - 1)
qqmath(ti, distribution = function(p) qt(p, df = fm$df.residual - 1), grid = TRUE, aspect = "iso")
character(0)character(0)character(0)       minister        reporter      contractor insurance.agent       machinist     store.clerk 
    0.003177202     0.021170298     0.047432955     0.060427645     0.066248120     0.085783008 As already noted, \(e_{i(-i)} = e_i / (1 - h_i)\)
This means that to compute \(e_{i(-i)}\), we do not actually need to re-fit model
In particular, leave-one-out cross-validation SSE can be calculated without actually re-fitting models
\[ t_i = r_i \sqrt{\frac{n-p-1}{n-p-r_i^2}} \]
p <- fm$rank
tfun <- function(r) r * sqrt((n-p-1) / (n-p-r^2))
xyplot(ti ~ ri, grid = TRUE, aspect = "iso", abline = list(c(0, 1), col = "grey50")) +
    layer_(panel.curve(expr = tfun(x), col = "grey50"))
xyplot(I(ti - ri) ~ ri, grid = TRUE, abline = list(h = 0, col = "grey50")) +
    layer_(panel.curve(expr = tfun(x) - x, col = "grey50"))
We are typically more interested in influential observations
Direct measure of the influence of objervation \(i\) on coefficient \(\beta_j\) is (for \(i = 1, \dotsc, n; j = 1, \dotsc, p\))
\[ DFBETA_{ij} = d_{ij} = \hat{\beta}_j - \hat{\beta}_{j(-i)} \]
\[ DFBETAS_{ij} = d^{*}_{ij} = \frac{d_{ij}}{SE_{(-i)}(\hat{\beta}_j)} \]
Drawback: there can be many of them (\(np\) in total).
When \(p\) is small, it is useful to plot \(DFBETA_{ij}\) (or \(DFBETAS_{ij}\)) against \(i\) separately for each \(j\).
It is also common to look at a summary influence measure for each observation.
Think of testing the “hypothesis” that \(\beta = \hat{\beta}_{(-i)}\)
Consider the “\(F\)-statistic” for this test, recalculated for each \(i\) (though not really meaningful)
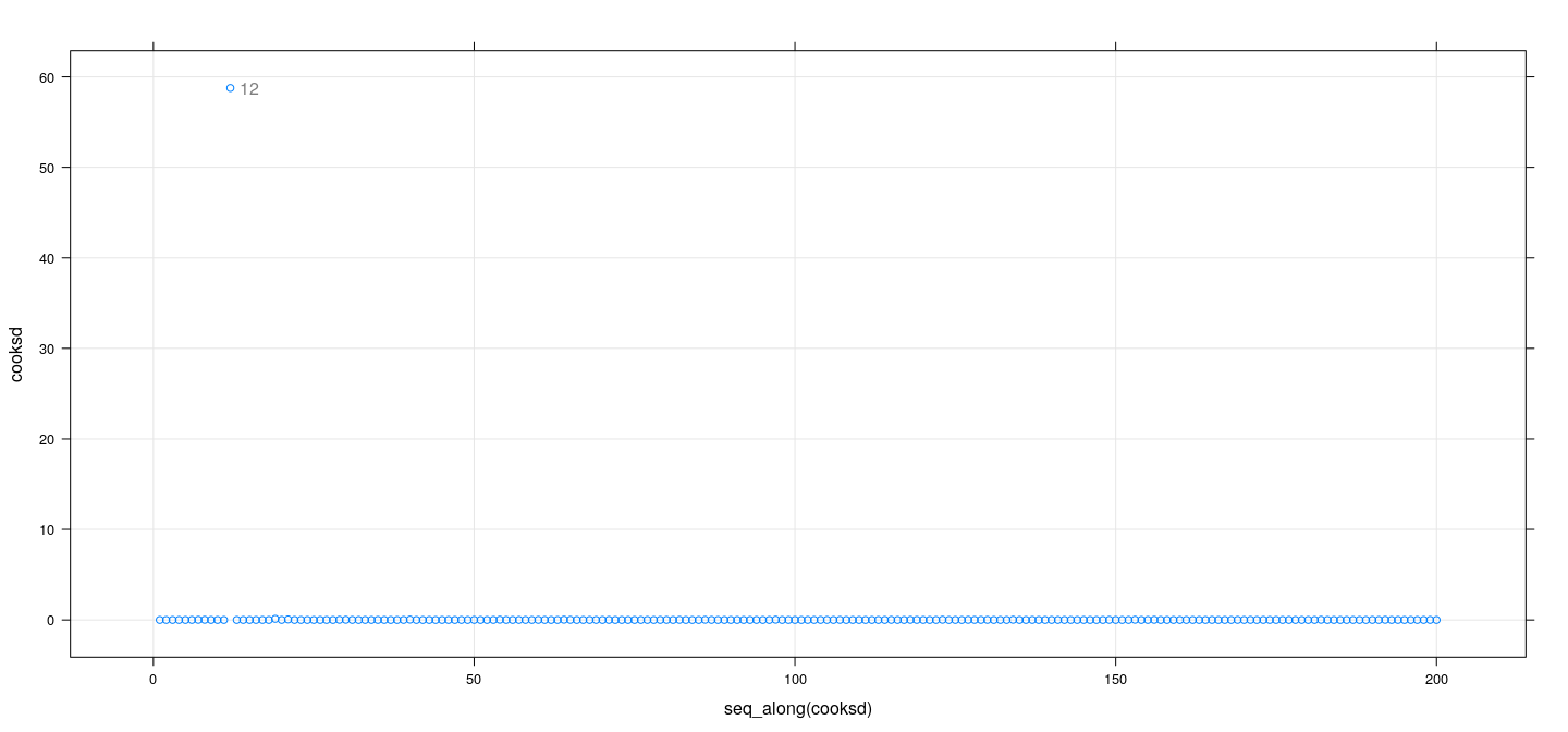
This is known as Cook’s distance \(D_i\). It can be shown that
\[ D_i = \frac{{r_i}^2}{p} \times \frac{h_i}{1-h_i} \]
\(D_i\) can be viewed as a combination of discrepancy and leverage.
Observations with high values of \(D_i\) are considered influential
\[ DFFITS_i = t_i \times \sqrt{\frac{h_i}{1-h_i}} \]
\[ D_i \approx \frac{DFFITS_i^2}{p} \]
fm <- lm(weight ~ height * sex, Davis)
dfb <- dfbetas(fm); cooksd <- cooks.distance(fm)
id <- cooksd > 10
xyplot(cooksd ~ seq_along(cooksd), grid = TRUE) +
    layer(panel.text(x[id], y[id], labels = rownames(Davis)[id], pos = 4, col = "grey50"))

fm <- lm(prestige ~ education + income, Duncan, na.action = na.exclude)
dfb <- dfbetas(fm); cooksd <- cooks.distance(fm)
id <- cooksd > 0.1
xyplot(cooksd ~ seq_along(cooksd), grid = TRUE) +
    layer(panel.text(x[id], y[id], labels = rownames(Duncan)[id], pos = 4, col = "grey50"))


Individual observations can also influence standard errors
For example, standard error for estimated slope in simple linear regression \(y = \alpha + \beta x + \varepsilon\)
\[ s.e.(\hat{\beta}) = \frac{\hat{\sigma}}{\sqrt{\sum_i (x_i - \bar{x})^2}} \]
Generally, we could measure influence by effect on size of joint confidence region of \(\hat{\beta}\)
Measure proposed by Belsley et al (1980)
Observations that increase precision have \(COVRATIO_i > 1\)
Observations that decrease precision have \(COVRATIO_i < 1\)
Look for values that differ from 1
fm <- lm(weight ~ height * sex, Davis)
covr <- covratio(fm)
id <- which(abs(covr-1) > 0.2)
xyplot(covr ~ seq_along(covr), grid = TRUE) +
    layer(panel.text(x[id], y[id], labels = rownames(Davis)[id], pos = 4, col = "grey50"))
fm <- lm(prestige ~ education + income, Duncan, na.action = na.exclude)
covr <- covratio(fm)
id <- which(abs(covr-1) > 0.2)
xyplot(covr ~ seq_along(covr), grid = TRUE) +
    layer(panel.text(x[id], y[id], labels = rownames(Duncan)[id], pos = 4, col = "grey50"))
Blindly following numerical cutoffs is not recommended
Most regression diagnostics are designed for graphical examination
Still, numerical cutoffs can be a useful complement
Particularly useful to indicate a “cutoff line” on a graph
Hat values: \(2 \times \frac{p}{n}\) or \(3 \times \frac{p}{n}\) for small samples
Studentized residuals: \(\pm 2\) (adjusted \(p\)-value for more formal test)
Cook’s distance \(D\): analogy with \(F\)-test gives a natural cutoff (Chatterjee and Hadi, 1988)
\[ D_i > \frac{4}{n-p} \]
\[ DFFITS_i > 2 \sqrt{ \frac{p}{n-p} } \]



Find most influential observation
If considered unusual, remove, re-fit model, and consider next most influential observation
Can often work, but is not always successful
Alternatively, extend Cook’s distance to subsets of observations
Number of possible subsets can become large
Insight: Jointly influential observations easy to detect visually for single covariate
Can we reduce multiple regression to simple regression?
Partial regression plots can do this, provided we focus on influence on one coefficient at a time
Question: What is the interpretation of \(\beta_j\) in the Mutiple regression model
\[ \mathbf{y} = \beta_0 \mathbf{1} + \beta_1 \mathbf{x}^{(1)} + \cdots + \beta_j \mathbf{x}^{(j)} + \cdots + \beta_p \mathbf{x}^{(p)} \]
(where \(\mathbf{x}^{(j)}\) represents \(j\)-th column of \(\mathbf{X}\))
\(\beta_j\) is effect of \(j\)-th covariate \(x^{(j)}\) on response \(y\)
\(t\)-test for \(\beta_j = 0\) tests significance of \(\beta_j\) in the presence of other covariates
Significance determined by amount of reduction in total sum of squares
Davis$dsex <- ifelse(Davis$sex == "M", 1, 0)
fm.full <- lm(weight ~ 1 + height + dsex, Davis)
fm.partial <- lm(weight ~ 1 + height, Davis)
sum(residuals(fm.full)^2)[1] 27493.32(Intercept)      height        dsex 
109.1141967  -0.3129827  22.4980107 (Intercept)      height 
 25.2662278   0.2384059 Can we recover the additional effect of \(\beta_j\) from the partial model?
e.partial <- residuals(fm.partial)
fm.marginal <- lm(e.partial ~ dsex, Davis)
sum(residuals(fm.marginal)^2)[1] 33166.05(Intercept)        dsex 
  -6.436995   14.629534 Can we recover the additional effect of \(\beta_j\) from the partial model?
e.partial <- residuals(fm.partial)
fm.marginal <- lm(e.partial ~ 0 + residuals(lm(dsex ~ 1 + height)), Davis)
sum(residuals(fm.marginal)^2)[1] 27493.32residuals(lm(dsex ~ 1 + height)) 
                        22.49801 Denote \(\mathbf{X}\) excluding its \(j\)-th column by \(\mathbf{X}^{(-j)}\)
Regress \(\mathbf{y}\) on \(\mathbf{X}^{(-j)}\), denote residual vector by \(\mathbf{y}^{(j)}\)
Regress \(j\)-th column of \(\mathbf{X}\) on \(\mathbf{X}^{(-j)}\), denote residual vector by \(\mathbf{X}^{(j)}\)
In other words
\(\mathbf{y}^{(j)} = (\mathbf{I} - \mathbf{H}_{\mathbf{X}^{(-j)}}) \mathbf{y}\)
\(\mathbf{X}^{(j)} = (\mathbf{I} - \mathbf{H}_{\mathbf{X}^{(-j)}}) \mathbf{X}_{*j}\)
Plot \(\mathbf{y}^{(j)}\) against \(\mathbf{X}^{(j)}\)
This is useful because the coefficient of this regression is the same as \(\hat{\beta}_j\)



Easy solution: discard
This is sometimes the right thing to do, but should not be done automatically
Unusual data may provide insight (e.g., Duncan’s prestige data)
It may indicate data recording errors (e.g., Davis data has values switched)
   sex weight height repwt repht
10   M     65    171    64   170
11   M     70    175    75   174
12   F    166     57    56   163
13   F     51    161    52   158
14   F     64    168    64   165