Deepayan Sarkar
Another potential remedy for collinearity
Decreases variability of estimated coefficients at the cost of introducing bias
Also known as regularization
Important beyond the collinearity context
Certain types of penalties can be used for variable selection in a natural way
Penalized regression provides solutions in ill-posed (rank-deficient) problems
Familiar examples of such models are ANOVA models with all dummy variables
A more realistic situation is models with \(p > n\) (more covariates than observations)
We have already seen an example of penalized regression: smoothing splines
Given data \(\{ (x_i, y_i ) : x_i \in [a, b] \}\), goal is to find \(f\) that minimizes (given \(\lambda > 0\))
\[ \sum_i (y_i - f(x_i))^2 + \lambda \int_{a}^{b} (f^{\prime\prime}(t))^2 dt \]
The solution is a natural cubic spline
Here \(f\) is the parameter of interest
The (ill-posed) least squares problem is regularized by adding a penalty for “undesirable” (wiggly) solutions
The same idea can be applied for usual (finite-dimensional) parameters as well
Penalized regression is a special case of the more general penalized likelihood approach
This is easiest to motivate using a Bayesian argument
Consider unknown parameter \(\theta\) and observed data \(y\) with
\[ p(\theta | y) = \frac{p(\theta, y)}{p(y)} = \frac{p(\theta) \, p(y | \theta)}{p(y)} \]
\[ p(y) = \int p(\theta) \, p(y | \theta) \, d\theta \]
How does posterior \(p(\theta | y)\) lead to inference on \(\theta\)?
We could look at \(E(\theta | y)\), \(V(\theta | y)\), etc.
We could also look at the maximum-a-posteriori (MAP) estimator
\[ \hat\theta = \arg \max_{\theta} p(\theta | y) \]
Unfortunately, \(p(y)\) is in general difficult to compute
This has led to methods to simulate from \(p(\theta | y)\) without knowing \(p(y)\) (MCMC)
Fortunately, MAP estimation does not require \(p(y)\), which does not depend on \(\theta\)
\(\hat\theta\) is given by
The first term is precisely the usual log-likelihood
The second term can be viewed as a “regularization penalty” for “undesirable” \(\theta\)
\[ \mathbf{y} | \mathbf{X}, \beta \sim N( \mathbf{X} \beta, \sigma^2 \mathbf{I}) \]
\[ \beta \sim N( \mathbf{0}, \tau^2 \mathbf{I}) \]
\[ -2 L(\beta) = C(\sigma^2, \tau^2) + \frac{1}{\sigma^2} \sum_{i=1}^n (y_i - \mathbf{x}_i^T \beta)^2 + \frac{1}{\tau^2} \sum_{j=1}^p \beta_j^2 \]
\[ \hat\beta = \arg \min_{\beta}\, \sum_{i=1}^n (y_i - \mathbf{x}_i^T \beta)^2 + \frac{\sigma^2}{\tau^2} \sum_{j=1}^p \beta_j^2 \]
\[ \hat\beta = \arg \min_{\beta}\, \sum_{i=1}^n (y_i - \mathbf{x}_i^T \beta)^2 + \lambda \sum_{j=1}^p \beta_j^2 \]
As discussed earlier, this approach does not really make sense unless columns of \(\mathbf{X}\) are standardized
It is also not meaningful to penalize the intercept
For these reasons, in what follows, we assume without loss of generality that
Columns of \(\mathbf{X}\) have been centered and scaled to have mean \(0\) and variance \(1\)
\(\mathbf{y}\) has been centered to have mean 0
The model is fit without an intercept (which is separately estimated as \(\bar{y}\))
In practice, these issues are usually handled by model fitting software in the background
\[ \mathbf{y}^T \mathbf{y} + \beta^T \mathbf{X}^T \mathbf{X} \beta - 2 \mathbf{y}^T \mathbf{X} \beta + \lambda \beta^T \beta = \mathbf{y}^T \mathbf{y} + \beta^T (\mathbf{X}^T \mathbf{X} + \lambda \mathbf{I}) \beta - 2 \mathbf{y}^T \mathbf{X} \beta \]
\[ (\mathbf{X}^T \mathbf{X} + \lambda \mathbf{I}) \beta = \mathbf{X}^T \mathbf{y} \]
\[ \hat{\beta} = (\mathbf{X}^T \mathbf{X} + \lambda \mathbf{I})^{-1} \mathbf{X}^T \mathbf{y} \]
Note that \(\mathbf{X}^T \mathbf{X} + \lambda \mathbf{I}\) is always invertible
To prove this, use the singular value decomposition of \(\mathbf{X}^T \mathbf{X} = \mathbf{A} \mathbf{\Lambda} \mathbf{A}^T\)
\[ \mathbf{X}^T \mathbf{X} + \lambda \mathbf{I} = \mathbf{A} (\mathbf{\Lambda} + \lambda \mathbf{I}) \mathbf{A}^T \]
As \(\lambda \to 0\), \(\hat{\beta}_{ridge} \to \hat{\beta}_{OLS}\)
As \(\lambda \to \infty\), \(\hat{\beta}_{ridge} \to \mathbf{0}\)
In the special case where columns of \(\mathbf{X}\) are orthogonal (\(\mathbf{A} = \mathbf{I}\))
\[ \hat{\beta}_{ridge} = \frac{1}{1+\lambda} \hat{\beta}_{OLS} \]
This illustates the essential feature of ridge regression: shrinkage towards \(0\) (the prior mean of \(\beta\))
The ridge penalty introduces bias by shrinkage but reduces variance
simCollinear <- function(n = 100)
{
z1 <- rnorm(n)
z2 <- rnorm(n)
x1 <- z1 + z2 + 0.1 * rnorm(n)
x2 <- z1 - 2 * z2 + 0.1 * rnorm(n)
x3 <- 2 * z1 - z2 + 0.1 * rnorm(n)
y <- x1 + 2 * x2 + 2 * rnorm(n) # x3 has coefficient 0
data.frame(y, x1, x2, x3)
}
d3 <- simCollinear()
lm(y ~ . , data = d3)
Call:
lm(formula = y ~ ., data = d3)
Coefficients:
(Intercept) x1 x2 x3
-0.3256 0.7419 1.8612 0.1909
x1 x2 x3
-0.3339996 0.1511181 1.2421567 0.7907122
x1 x2 x3
-0.34263086 0.01199235 1.03851408 0.89352016
## Replicate this several times
sim.results <-
replicate(100,
{
d3 <- simCollinear()
beta.ols <- coef(lm(y ~ . , data = d3))[-1]
beta.ridge.1 <- coef(lm.ridge(y ~ . , data = d3, lambda = 1))[-1]
beta.ridge.10 <- coef(lm.ridge(y ~ . , data = d3, lambda = 10))[-1]
data.frame(beta1 = c(beta.ols[1], beta.ridge.1[1], beta.ridge.10[1]),
beta2 = c(beta.ols[2], beta.ridge.1[2], beta.ridge.10[2]),
beta3 = c(beta.ols[3], beta.ridge.1[3], beta.ridge.10[3]),
which = c("lambda=0 (OLS)", "lambda=1", "lambda=10"))
}, simplify = FALSE)
sim.df <- do.call(rbind, sim.results)
with(sim.df, rbind(tapply(beta1, which, mean),
tapply(beta2, which, mean),
tapply(beta3, which, mean))) lambda=0 (OLS) lambda=1 lambda=10
[1,] 1.024926051 0.2217080 0.04698428
[2,] 1.997629453 1.1864466 0.96557666
[3,] -0.005341892 0.7949516 0.92124664
lambda=0 (OLS) lambda=1 lambda=10
[1,] 1.163054 0.2630750 0.11957701
[2,] 1.174441 0.2519598 0.07013490
[3,] 1.171263 0.2512505 0.08062144
\[ V(\hat\beta) = \sigma^2 \mathbf{W} \mathbf{X}^T \mathbf{X} \mathbf{W} \quad \text{where} \quad \mathbf{W} = (\mathbf{X}^T \mathbf{X} + \lambda \mathbf{I})^{-1} \]
\[ E(\hat\beta) = \mathbf{W} \mathbf{X}^T \mathbf{X} \beta \]
\[ \text{bias}(\hat\beta) = (\mathbf{W} \mathbf{X}^T \mathbf{X} - \mathbf{I}) \beta = -\lambda \mathbf{W} \beta \]
\[ \mathbf{W} (\mathbf{X}^T \mathbf{X} + \lambda \mathbf{I}) = \mathbf{I} \implies \mathbf{W} \mathbf{X}^T \mathbf{X} - \mathbf{I} = \lambda \mathbf{W} \]
It can be shown that
It can also be shown that there exists some \(\lambda\) for which the total MSE of \(\hat{\beta}\) is less than the MSE of \(\hat{\beta}_{OLS}\)
This is a surprising result that is an instance of a more general phenomenon in decision theory
Note however that the total MSE has no useful interpretation for the overall fit
We still need to address the problem of choosing \(\lambda\)
Before doing so, let us consider a related (but much more interesting) estimator called LASSO
LASSO stands for “Least Absolute Shrinkage and Selection Operator”
The LASSO estimator is given by solving a penalized regression with a \(L_1\) penalty (rather than \(L_2\))
\[ \hat\beta = \arg \min_{\beta} \quad \frac{1}{2} \sum_{i=1}^n (y_i - \mathbf{x}_i^T \beta)^2 + \lambda \sum_{j=1}^p \lvert \beta_j \rvert \]
This corresponds to an i.i.d. double exponential prior on each \(\beta_j\)
Even though the change seems subtle, the behaviour of the estimator changes dramatically
The problem is much more difficult to solve numerically (except when \(\mathbf{X}\) is orthogonal — exercise)
It is an area of active research, and implementations have improved considerably over the last few decades
We will not go into further theoretical details, but only look at some practical aspects
library(glmnet) # usage: glmnet(X, y, alpha, ...)
coef(with(d3, glmnet(cbind(x1, x2, x3), y, alpha = 1, lambda = 1)))4 x 1 sparse Matrix of class "dgCMatrix"
s0
(Intercept) -0.3733872
x1 .
x2 0.8227224
x3 0.6775433
## Replicate this several times
sim.results.lasso <-
replicate(100,
{
d3 <- simCollinear()
beta.ols <- coef(lm(y ~ . , data = d3))[-1]
fm.lasso <- with(d3, glmnet(cbind(x1, x2, x3), y, alpha = 1, lambda = c(2, 1)))
beta.lasso <- as.matrix(coef(fm.lasso))[-1, ]
data.frame(beta1 = c(beta.ols[1], beta.lasso[1,2], beta.lasso[1,1]),
beta2 = c(beta.ols[2], beta.lasso[2,2], beta.lasso[2,1]),
beta3 = c(beta.ols[3], beta.lasso[3,2], beta.lasso[3,1]),
which = c("lambda=0 (OLS)", "lambda=1", "lambda=2"))
}, simplify = FALSE)
sim.df.lasso <- do.call(rbind, sim.results.lasso)

with(sim.df.lasso, rbind(tapply(beta1, which, mean),
tapply(beta2, which, mean),
tapply(beta3, which, mean))) lambda=0 (OLS) lambda=1 lambda=2
[1,] 0.972813560 0.0000000 0.0000000
[2,] 2.008541811 0.7920059 0.5423446
[3,] -0.002656804 0.7109653 0.4587019
with(sim.df.lasso, rbind(tapply(beta1, which, sd),
tapply(beta2, which, sd),
tapply(beta3, which, sd))) lambda=0 (OLS) lambda=1 lambda=2
[1,] 1.282199 0.0000000 0.0000000
[2,] 1.274482 0.1630202 0.1698728
[3,] 1.281313 0.1495002 0.1506298
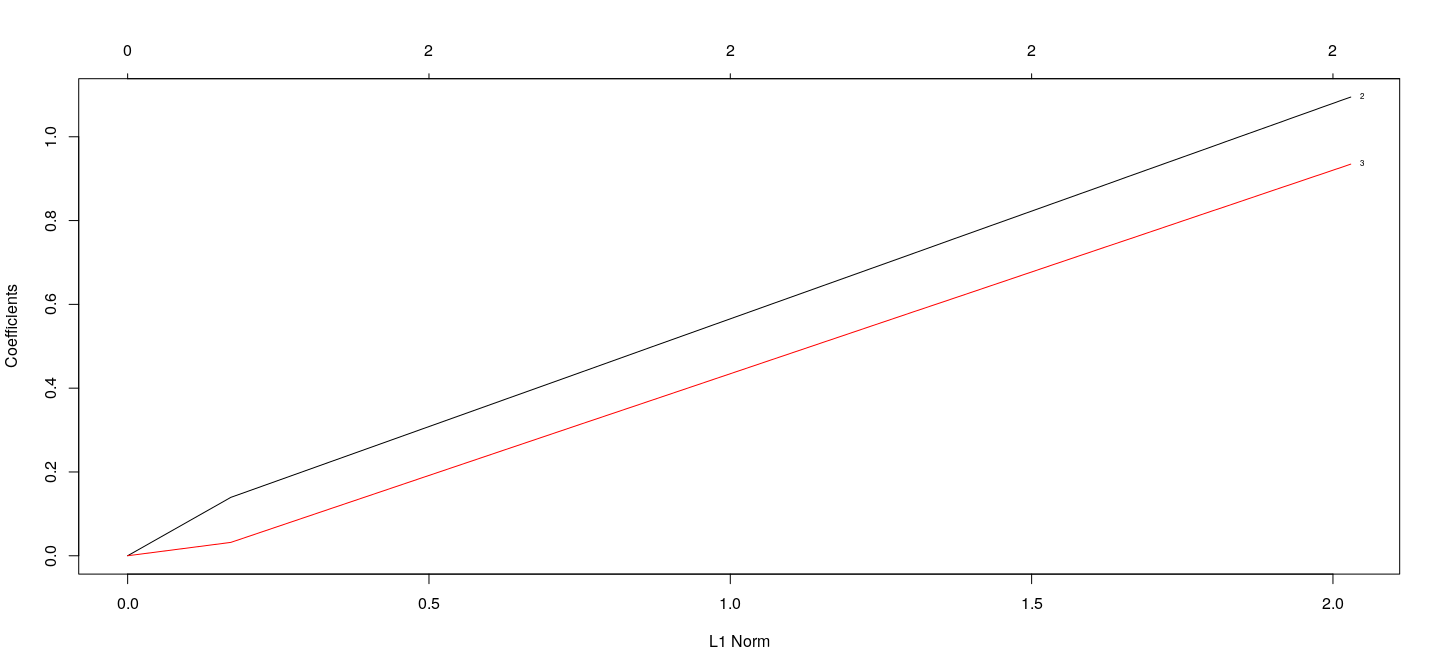
fm.lasso <- with(d3, glmnet(cbind(x1, x2, x3), y, alpha = 1))
plot(fm.lasso, xvar = "norm", label = TRUE)
fm.lasso <- with(d3, glmnet(cbind(x1, x2, x3), y, alpha = 1))
plot(fm.lasso, xvar = "dev", label = TRUE)
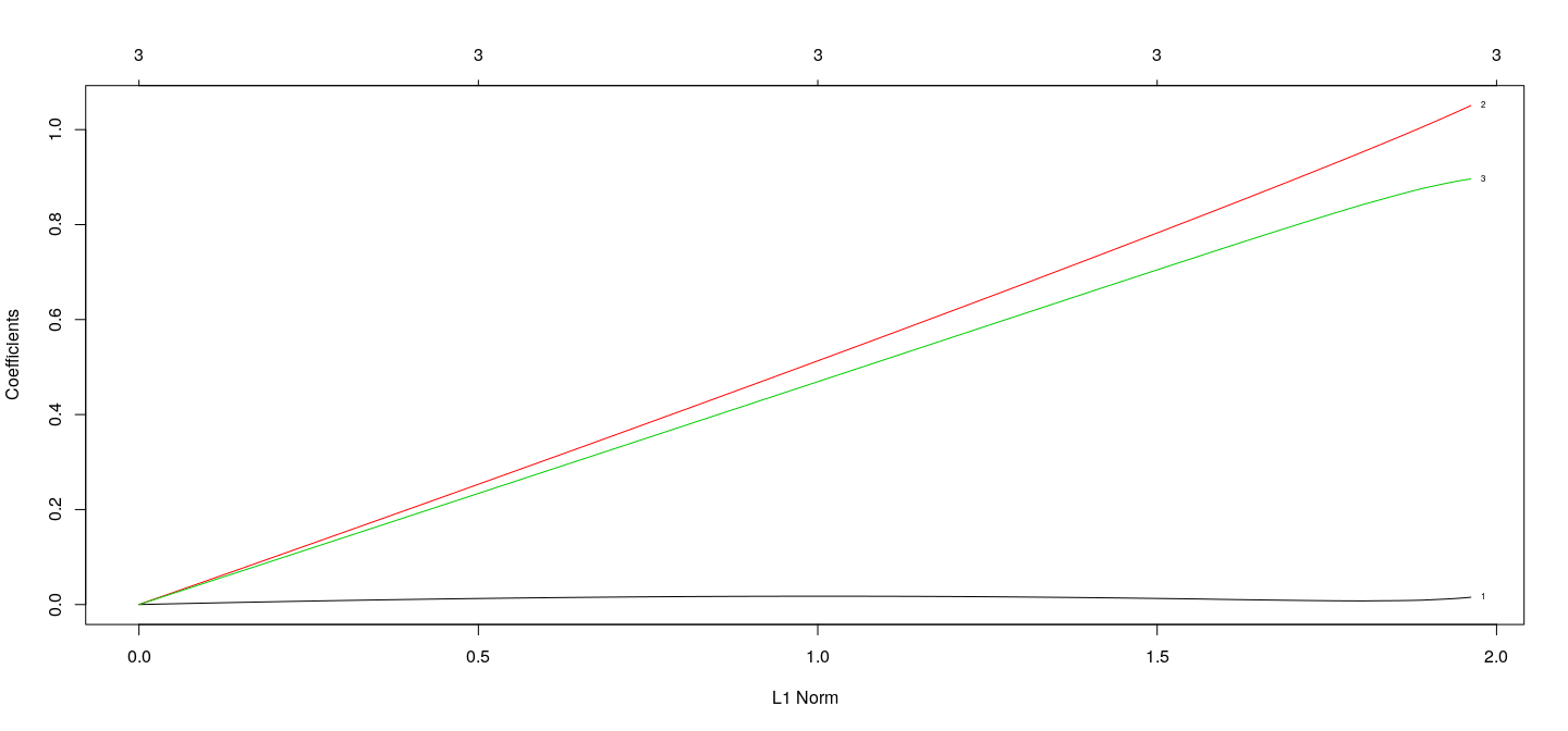
fm.ridge <- with(d3, glmnet(cbind(x1, x2, x3), y, alpha = 0))
plot(fm.ridge, xvar = "norm", label = TRUE)
fm.ridge <- with(d3, glmnet(cbind(x1, x2, x3), y, alpha = 0))
plot(fm.ridge, xvar = "dev", label = TRUE)
'data.frame': 322 obs. of 20 variables:
$ AtBat : int 293 315 479 496 321 594 185 298 323 401 ...
$ Hits : int 66 81 130 141 87 169 37 73 81 92 ...
$ HmRun : int 1 7 18 20 10 4 1 0 6 17 ...
$ Runs : int 30 24 66 65 39 74 23 24 26 49 ...
$ RBI : int 29 38 72 78 42 51 8 24 32 66 ...
$ Walks : int 14 39 76 37 30 35 21 7 8 65 ...
$ Years : int 1 14 3 11 2 11 2 3 2 13 ...
$ CAtBat : int 293 3449 1624 5628 396 4408 214 509 341 5206 ...
$ CHits : int 66 835 457 1575 101 1133 42 108 86 1332 ...
$ CHmRun : int 1 69 63 225 12 19 1 0 6 253 ...
$ CRuns : int 30 321 224 828 48 501 30 41 32 784 ...
$ CRBI : int 29 414 266 838 46 336 9 37 34 890 ...
$ CWalks : int 14 375 263 354 33 194 24 12 8 866 ...
$ League : Factor w/ 2 levels "A","N": 1 2 1 2 2 1 2 1 2 1 ...
$ Division : Factor w/ 2 levels "E","W": 1 2 2 1 1 2 1 2 2 1 ...
$ PutOuts : int 446 632 880 200 805 282 76 121 143 0 ...
$ Assists : int 33 43 82 11 40 421 127 283 290 0 ...
$ Errors : int 20 10 14 3 4 25 7 9 19 0 ...
$ Salary : num NA 475 480 500 91.5 750 70 100 75 1100 ...
$ NewLeague: Factor w/ 2 levels "A","N": 1 2 1 2 2 1 1 1 2 1 ...
[1] 263 20
y <- Hitters$Salary
X <- model.matrix( ~ . - Salary - 1, Hitters) # converts factors into dummy variables
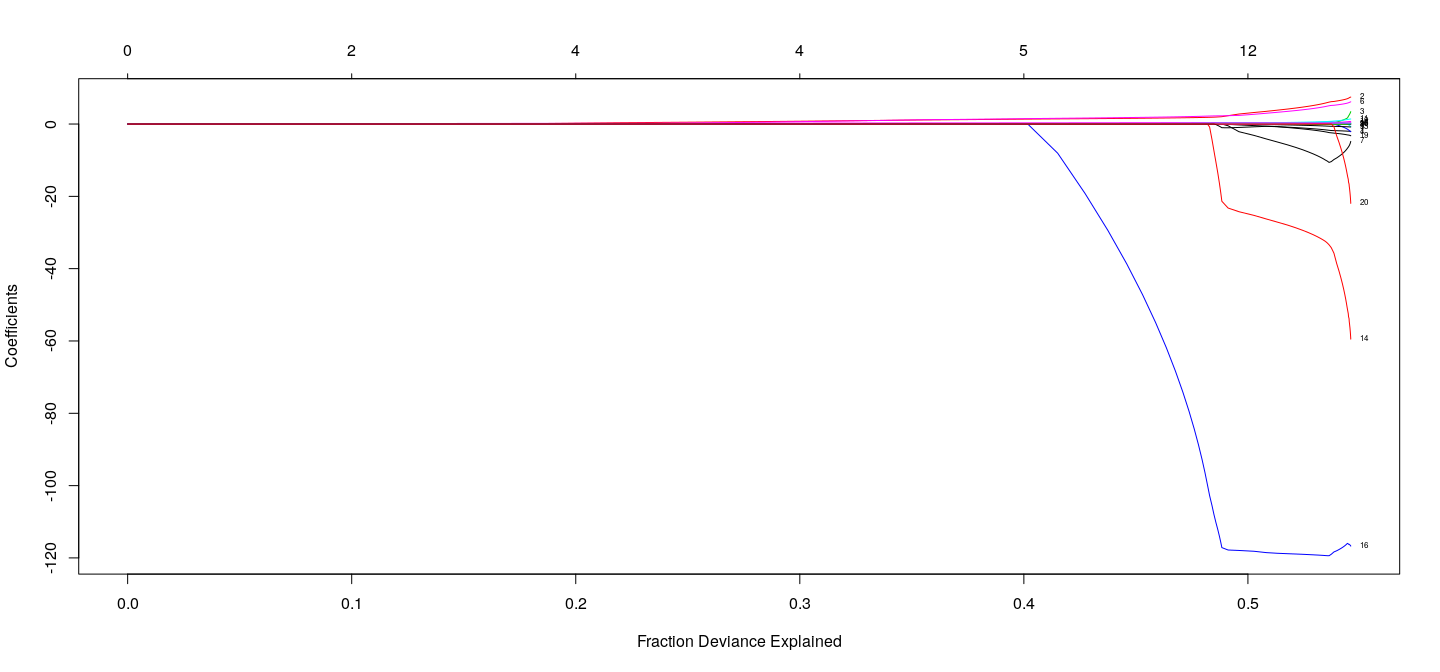
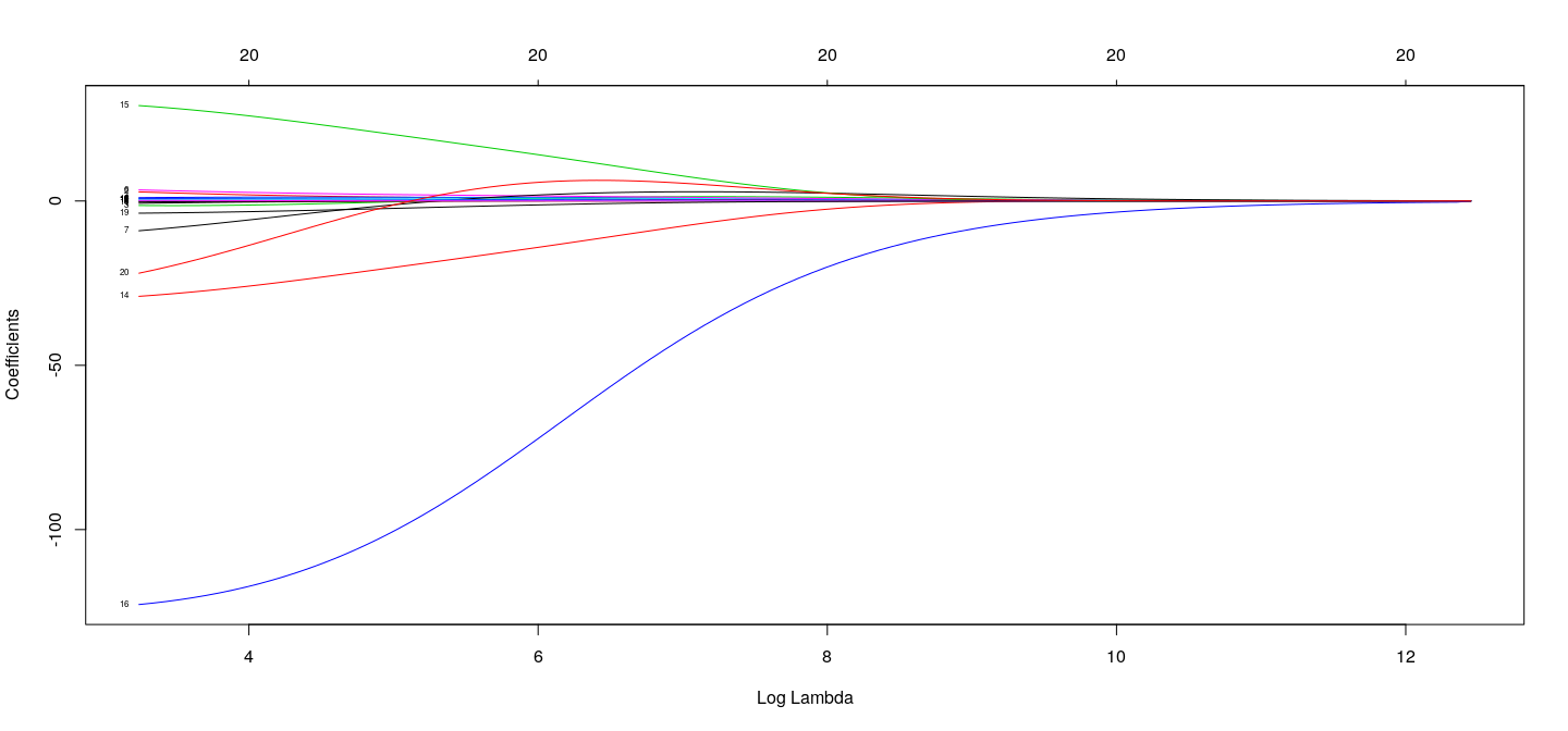
fm.lasso <- glmnet(X, y, alpha = 1)
fm.ridge <- glmnet(X, y, alpha = 0)
## top axis labels indicate number of nonzero coefficients
plot(fm.lasso, xvar = "lambda", label = TRUE)
## top axis labels indicate number of nonzero coefficients
plot(fm.lasso, xvar = "dev", label = TRUE)
## top axis labels indicate number of nonzero coefficients (not useful for Ridge)
plot(fm.ridge, xvar = "lambda", label = TRUE)
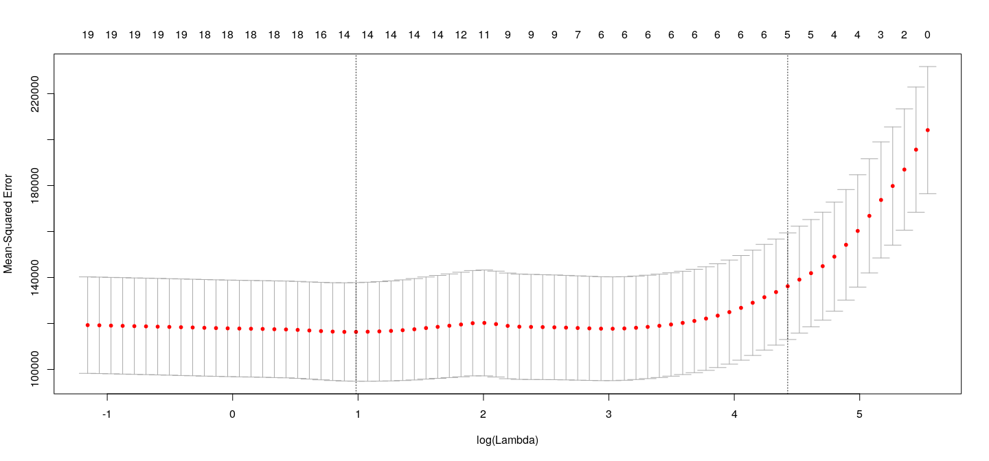
Usual model selection criteria can be used (AIC, BIC, etc.)
Using cross-validation is more common
Note that there is no closed form expression for \(e_{i(-i)}\) in general
Leave-one-out (\(n\)-fold) cross-validation is computationally intensive for large data sets
The cv.glmnet() function performs \(k\)-fold cross-validation (\(k=10\) by default)
Divides dataset randomly into \(k\) (roughly) equal parts
Predicts on each part using model fit with remaining \((k-1)\) parts
Computes overall prediction error

The two lines on the plot correspond to
\(\lambda\) that minimizes cross-validation error
largest value of \(\lambda\) such that error is within 1 standard error of the minimum
lambda.min lambda.1se
2.674375 83.593378
s.cv <- c(lambda.min = cv.lasso$lambda.min, lambda.1se = cv.lasso$lambda.1se)
round(coef(cv.lasso, s = s.cv), 3) # corresponding coefficients21 x 2 sparse Matrix of class "dgCMatrix"
1 2
(Intercept) 155.817 167.912
AtBat -1.547 .
Hits 5.661 1.293
HmRun . .
Runs . .
RBI . .
Walks 4.730 1.398
Years -9.596 .
CAtBat . .
CHits . .
CHmRun 0.511 .
CRuns 0.659 0.142
CRBI 0.393 0.322
CWalks -0.529 .
LeagueA -32.065 .
LeagueN 0.000 .
DivisionW -119.299 .
PutOuts 0.272 0.047
Assists 0.173 .
Errors -2.059 .
NewLeagueN . .

We repeat our earlier simulation example
Let us look at number of variables selected when none are related to the response
## Replicate this experiment
num.nonzero.coefs <-
replicate(100,
{
d <- matrix(rnorm(100 * 21), 100, 21)
cv.lasso <- cv.glmnet(x = d[,-1], y = d[,1])
lambda.cv <- cv.lasso$lambda.1se
sum(coef(cv.lasso, s = lambda.cv)[-1] != 0) # exclude intercept
})
table(num.nonzero.coefs)num.nonzero.coefs
0 2
99 1
coefs <- replicate(100,
{
X <- matrix(rnorm(100 * 20), 100, 20)
y <- X[,1:2] %*% runif(2, -1, 1) + rnorm(100)
cv.lasso <- cv.glmnet(X, y)
lambda.cv <- cv.lasso$lambda.1se
coef(cv.lasso, s = lambda.cv)[-1] # exclude intercept
})
coefs[coefs == 0] <- NA
levelplot(t(coefs), col.regions = heat.colors, xlab = "Replication number", ylab = "Coefficient number")
\[ \sum_{i=1}^n (y_i - \mathbf{x}_i^T \beta)^2 \quad \text{subject to} \quad \lVert \beta \rVert^2 = \sum \beta_j^2 \leq t \]
Claim: The solution \(\hat{\beta}\) is the usual Ridge estimate for some \(\lambda\)
Case 1 : \(\lVert \hat{\beta}_{OLS} \rVert^2 \leq t \implies \hat{\beta} = \hat{\beta}_{OLS}, \lambda = 0\)
Case 2 : \(\lVert \hat{\beta}_{OLS} \rVert^2 > t\)
The LASSO problem can be similarly formulated as: minimize \(\lVert \mathbf{y} - \mathbf{X} \beta \rVert^2\) subject to \(\sum \lvert \beta_j \rvert \leq t\)
This interpretation gives a useful geometric justification for the variable selection behaviour of LASSO

(From Elements of Statistical Learning, page 71)